超級電容通過分離正負電荷來儲存能量,是物理方法儲能,電池是用化學反應的方法來儲能,所以電池的反應時間會很長,超級電容容量大,充放電速度快,而且充放電循環可達百萬次,非常適合用作備用電源和提供峰值功率。
超級電容工作原理
超級電容可以用做后備電源,類似于UPS,在系統突然斷電后,負責在極短時間內為系統提供能量。在這種應用中,需要后備電源有快速的啟動時間。由于超級電容是物理反應的方式儲存電能,充放電速度快,相對電池有著更為快速的響應時間。

圖1:超級電容用作備用電源示意圖
電池的充放電大概在1小時到10個小時左右,而傳統用于濾波的電容,充放電在0.03秒,超級電容充放電在1秒左右,基本上是從0.1秒到10秒,這個時間正好是汽車、吊車剎車或啟動的時間,其他設備比如風力發電中,風輪機變槳的時候要提供能量也是在這個時間段。
在風力發電風輪機變槳時、機車、電動機、汽車、吊車啟動時需要的能量遠大于其正常工作時需要的能量,超級電容可以輔助電池、發動機等動力系統提供峰值功率,從而減輕電池或發動機的負擔。沒有超級電容時,在負載啟動、維持運行和終止的過程中,能量全部由電池或發動機供給。如果加入了超級電容,負載啟動時需要的峰值功率可以由超級電容承擔。

圖2:超級電容提供峰值功率示意圖
在機車、電動機、汽車、吊車剎車時,超級電容可以重新捕獲能量。這樣,加入了超級電容做輔助電源,可以提高能量利用效率,延長電池或發動機壽命。同時相對于沒有超級電容的動力系統,電池或發動機不需要提供峰值功率,因而尺寸可以更小。下圖是超級電容輔助電池、發動機的工作模式示意圖。

圖3:沒有超級電容的動力系統工作模式

圖4:超級電容用作輔助電源的動力系統工作模式
[page]
超級電容提供峰值功率的應用案例
集裝箱龍門吊車使用柴油機做動力,當龍門下來的時候有一個動能,通常是通過剎車電阻耗散動能,剎車電阻是個耗能電阻,把電變成熱耗散掉。如果使用了超級電容,剎車的動能可以轉換成電能,通過一定的電路充電到超級電容里面去,反過來當龍門上升的時候通過一定的逆行電路把超級電容的能量反饋到電機里面。
由于使用了超級電容提供峰值功率,柴油機只需要提供維持運行的較小的功率,因而柴油機的尺寸可以減小一半,同時節省了成本。類似的應用還包括叉車、混合動力汽車、輕軌或地鐵。

圖5:超級電容用在集裝箱龍門吊車上面
自動抄表系統抄表時,數據發送需要非常大的能量,超級電容能夠提供大的能量。下圖是Maxwell超級電容在智能電表上的應用,超級電容取代鋰離子電池,壽命可以延長一倍,占版面積比鋰離子電池小。在自動抄表系統中的水表和氣表中,超級電容配合電池,延長使用壽命。

圖6:超級電容在智能電表中替代電池
選擇合適的超級電容
超級電容的選型和數量配置需要根據不同的應用來判斷,選擇要素包括最大和最小工作電壓、平均電流、平均功率、峰值電流、峰值功率、工作環境溫度、運行時間、壽命。
超級電容的額定電壓用VR表示,通過最大工作電壓(Vmax)可以算出需要串聯的超級電容的數量。計算公式為:

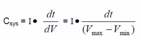
接下來,根據平均電流(I,單位為安培)、運行時間(dt,單位為秒)、最小工作電壓(Vmin),通過下面公式,就能計算出系統所需要的電容容值的近似值。
![]()
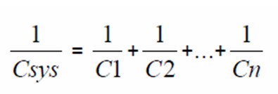
系統電容值與串聯的每個電容之間的關系用下面的公式表示:

如果使用相同容值的電容,那么公式可以簡化為:
。根據這個計算值,對照產品規格表,可以找出合適的產品。
如果各個電容之間是并聯關系,系統電容值與單個電容之間的容值關系式為:
![]()
除此之外,其他需要考慮的因素有,電容的內阻與瞬時電壓降有關,工作環境溫度會影響電容內阻和壽命。



