中心議題:
- 有源濾波器設計原理
- DC/DC電源中的紋波抑制設計
解決方案:
- 有源濾波器設計
- LC低通濾波器設計
開關電源以其體積小、效率高等優點在通信設備中得到了廣泛應用。但對于輸出電壓紋波要求較小的場合,傳統開關電源設計的輸出電壓紋波較大,已不能達到設計要求。而通過采用本文的有源濾波器及其前端加入LC低通濾波器網絡的方法,則能夠對紋波進行有效抑制,從而達到設計所需要的指標。實驗結果表明,該方法具有一定的理論與實際意義。
1 有源濾波器原理
有源濾波器的設計原理圖如圖1所示,圖中采用了一個運算放大器、四個電阻和兩個電容來構成有適當阻尼的二階有源低通濾波器。

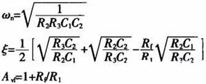
利用理想運放的分析方法,求得該電路的頻率特性函數為:

一般情況下,根據二階低通濾波器的頻率特性函數為:

通過上式可以求出該有源濾波器的一些參數,如自然角頻率ωn阻尼系數ξ和閉環增益Avf等:

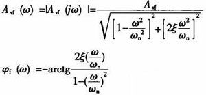
由上面的公式可以推得二階低通濾波器的幅頻特性Avf(ω)和相頻特性φf(ω)為:

[page]
圖2所示是其幅頻特性與相頻特性圖。

2 LC低通濾波器
在實際應用中,有源低通濾波器由于受到運算放大器的增益和帶寬限制,其工作在高頻段的波形效果不太理想,而在有源低通濾波器的前端加入截止頻率較高的LC低通濾波器,則可以達到比較理想的紋波抑制效果。其前端加入LC的濾波器原理圖如圖3所示。
3 實驗結果及其波形
在有輸出紋波的波形中,圖4給出了未使用有源濾波網絡的輸出電壓紋波圖,而圖5所示則是使用有源濾波網絡后的輸出電壓紋波圖。

4 結束語
通過對比可以看出,采用本文的有源濾波網絡及在其前端加入LC低通濾波電路,可以有效的濾除電壓紋波,達到方案中所要求的技術指標,同時,供電設備的工作穩定性也可得到可靠保證。





