中心議題:
- D類放大器的PCB的散熱考慮
- D類放大器的輔助散熱
- D類放大器的負載阻抗
解決方案:
- D類放大器采用TQFN或TQFP封裝時,裸露焊盤是其主要散熱通道
- 選擇最佳的阻抗和電源電壓使輸出功率最大
- D類放大器右側較寬的布線有助于導熱
在實驗室評估D類放大器性能時,常使用連續正弦波作為信號源。盡管使用正弦波進行測量比較方便,但這樣的測量結果卻是放大器在最壞情況下的熱負載。如果用接近最大輸出功率的連續正弦波驅動D類放大器,則放大器常常會進入熱關斷狀態。
常見的音源,包含樂音和語音,其RMS值往往比峰值輸出功率低得多。通常情況下,語音的峰值與RMS功率之比(即波峰因數)為12dB,而樂音的波峰因數為 18~20dB。圖1為時域內音頻信號和正弦波的波形圖,給出了采用示波器測量兩者RMS值的結果。雖然音頻信號峰值略高于正弦波,但其RMS值大概只有正弦波的一半。同樣,音頻信號可能存在突變,但正如測量結果所示,其平均值仍遠低于正弦波。雖然音頻信號可能具有與正弦波相近的峰值,但D類放大器表現出來的熱效應卻大大低于正弦波。因此,測量系統的熱性能時,最好使用實際音頻信號而非正弦波作為信號源。如果只能使用正弦波,則所得到的熱性能要比實際系統差。

圖1 正弦波的RMS值高于音頻信號的RMS值
PCB的散熱考慮
在工業標準TQFN封裝中,裸露的焊盤是IC散熱的主要途徑。對于底部有裸露焊盤的封裝,PCB及其敷銅層是D類放大器主要的散熱渠道。如圖2所示,將D類放大器貼裝到常見的PCB,最好根據以下原則:將裸露焊盤焊接到大面積敷銅塊。盡可能在敷銅塊與臨近的具有等電勢的D類放大器引腳以及其他元件之間多布一些敷銅。本文的案例中,敷銅層與散熱焊盤的右上方和右下方相連(見圖2)。敷銅走線應盡可能寬,因為這將影響到系統的整體散熱性能。

圖2 D類放大器采用TQFN或TQFP封裝時,裸露焊盤是其主要散熱通道
[page]
與裸露焊盤相接的敷銅塊應該用多個過孔連到PCB背面的其他敷銅塊上,并應該在滿足系統信號走線的要求下具有盡可能大的面積。加寬所有與器件的連線,這將有益于改善系統的散熱性能。雖然IC的引腳并不是主要的散熱通道,但實際應用中仍然會有少量發熱。圖3所示的PCB中,寬連線將D類放大器的輸出與圖右側的兩個電感相連。在這種情況下,電感的銅芯繞線也可為D類放大器提供額外的散熱通道。雖然對整體熱性能的改善不到10%,但這樣的改善卻會給系統帶來兩種截然不同的結果—系統具備較理想的散熱或出現較嚴重的發熱。

圖3 D類放大器右側較寬的布線有助于導熱
輔助散熱
當D類放大器在較高的環境溫度下工作時,增加外部散熱片可以改善PCB的熱性能。該散熱片的熱阻必須盡可能小,以使散熱性能最佳。采用底部的裸露焊盤后,PCB底部往往是熱阻最低的散熱通道。IC的頂部并不是器件的主要散熱通道,因此在此安裝散熱片不劃算。
熱計算
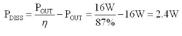
D類放大器的管芯溫度可以通過一些基本計算進行估計。本例中根據下列條件計算其溫度:
· TAM= +40℃
· POUT= 16W
· η = 87%
· θJA= 21℃/W
首先,計算D類放大器的功耗:
(1)
然后,通過功耗計算管芯溫度TC,公式如下:
TC=TA+PDISS×θJA= 40℃+2.4W×21℃/W=90.4℃ (2)
根據這些數據,可以推斷出該器件工作時具有較為理想的性能。因為系統很少能正好工作在25℃的理想環境溫度下,因此應該根據系統的實際使用環境溫度進行合理的估算。
負載阻抗
D 類放大器MOSFET輸出級的導通電阻會影響它的效率和峰值電流能力。降低負載的峰值電流可減少MOSFET的I2R損耗,進而提高效率。要降低峰值電流,應在保證輸出功率, D類放大器的電壓擺幅以及電源電壓的限制的條件下,選擇最大阻抗的揚聲器,如圖4所示。本例中,假設D類放大器的輸出電流為2A,電源電壓范圍為 5~24V。電源電壓大于等于8V時,4Ω的負載電流將達到2A,相應的最大連續輸出功率為8W。如果8W的輸出功率能滿足要求,則可以考慮使用一個 12Ω揚聲器和15V供電電壓,此時的峰值電流限制在1.25A,對應的最大連續輸出功率為9.4W。此外,12Ω負載的工作效率要比4Ω負載的高出 10%~15%。實際效率的提高根據不同D類放大器而異。雖然大多數揚聲器的阻抗都采用4Ω或8Ω,但也可采用其他阻抗的揚聲器實現更高效的散熱。

圖4 選擇最佳的阻抗和電源電壓使輸出功率最大
[page]
另外還需要注意音頻帶寬內負載阻抗的變化。揚聲器是一個復雜的機電系統,具有多種諧振元件。換言之,8Ω的揚聲器只在很窄的頻帶內才呈現出8Ω阻抗。在大部分音頻帶寬內,阻抗都會大于其標稱值,如圖5示。在大部分音頻帶寬內,該揚聲器的阻抗都會遠大于其8Ω的標稱值。然而,高頻揚聲器和分頻網絡的存在將降低阻抗值。因此必須考慮系統的總阻抗以確保足夠的電流驅動能力和散熱性能。

圖5 8Ω阻抗、13cm口徑揚聲器的阻抗隨頻率改變而急劇變化
結論
D類放大器的效率相比AB類放大器有很大提高,雖然這一效率優勢降低了系統設計時對散熱性能設計的要求,但仍然不能完全忽視系統散熱性能。如果能夠遵循良好的設計原則并且設定合理的設計目標,使用D類放大器可使音頻系統設計更簡單。




