【導讀】電源開關是每一種電源轉換器的核心元件。 這些元件的工作性能直接決定產品的可靠性和能效。 為增強電源轉換器的開關電路性能,吸收器橫跨電源開關,以抑制電壓尖刺以及衰減電路電感在開關打開時造成的瞬時振蕩。 正確的吸收器設計會提升可靠性和能效并減弱 EMI。 在許多不同的吸收器中,最常見的吸收器是阻容 (RC) 吸收器。 本文將說明為什么電源開關需要吸收器。 此外,還將給出關于最佳吸收器設計的一些實用小竅門。

圖 1:電源開關的四種基本電路。
在電源轉換器、電機驅動器和燈泡鎮流器中會用到許多不同的拓撲結構。 圖 1 所示為電源開關的四種基本電路。 如圖中藍色線框所示,這四種基本電路以及大多數電源開關電路都采用了“開關-二極管-電感器”網絡。 這種網絡在所有這些電路中的特性均相同。 所以,圖 2 中的簡化電路可用于分析電源開關在開關瞬變期間的開關性能。 既然電感器中的電流在開關瞬變期間幾乎不變,那么如圖所示,這個電感器就可用電流源替代。 圖 2 所示為理想的“電壓和電流開關”波形。

圖 2:簡化電源開關電路及其理想開關波形。
當 MOSFET 開關關斷時,其自身電壓升高。 然而,電流 IL 將繼續通過 MOSFET,直到開關電壓升至 Vol。 一旦二極管導通,IL 就開始降低。 當 MOSFET 開關導通時,情況剛好相反,如圖所示。 這種開關方式稱作“硬開關”。 在開關瞬變期間,電路必須能同時承受最高電壓和最大電流。 因此,這種“硬開關”方式會使 MOSFET 開關直接承受高電氣應力。

圖 3:MOSFET 開關關斷瞬變電壓過沖。
實際電路中,寄生電感 (Lp)、電容 (Cp) 會產生非常高的開關應力,如圖 4 所示。 Cp 包括開關的輸出電容、PCB 布局和安裝時產生的雜散電容。 Lp 包括 PCB 線路的寄生電感和 MOSFET 的引線電感。 這些來自功率器件的寄生電感、電容形成一個濾波器,并在關斷瞬變剛剛結束時形成諧振,所以會在器件上疊加過高的電壓瞬時振蕩,如圖 3 所示。 為抑制這種峰值電壓,可在開關上并聯一個 RC 吸收器,如圖 4 所示。 電阻值必須接近希望衰減的寄生諧振的阻抗值。 吸收器電容必須大于諧振電路電容,但又必須足夠小,以便最大程度地減小電阻器功率耗散。

圖 4:阻容吸收器配置。
如果功率耗散非關鍵指標,則可采用一種快捷的 RC 吸收器設計方法。 按照經驗,吸收器電容器 Csnub 應兩倍于開關輸出電容與預計安裝電容之和。 吸收器電阻器 Rsnub 則應滿足
。 電阻 Rsnub 在給定開關頻率 (fs) 下的功率耗散可按照下式估算:
當這種簡單的經驗設計不能充分限制峰值電壓時,就需采取優化措施。
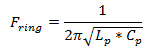
經過優化的 RC 吸收器:在功率耗散是關鍵指標的情況下應采用一種更優的方法。 首先,測量 MOSFET 開關關斷時在其節點 (SW) 處的瞬時振蕩頻率 (Fring)。 在 MOSFET 兩端焊接一個薄膜型 100 pF、低 ESR 電容器。 增大電容值,直至瞬時振蕩頻率為原始測量值的一半。 現在,開關的總輸出電容(增加的電容和原有寄生電容之和)增大到原來的四倍,而瞬時振蕩頻率則與電路的電感電容之積的平方根成反比例。 所以,寄生電容 Cp 是外加電容器電容值的三分之一。 現在,寄生電感 Lp 可利用下式求出:

只要求出寄生電感 Lp 和寄生電容 Cp,就可根據以下計算公式確定吸收器的電阻器 Rsnub 和電容器 Csnub。


如發現吸收器電阻器不夠大,則可以進行微調,進一步減少瞬時振蕩。
電阻器 Rsnub 在給定開關頻率 (fs) 下的功率耗散為
。
利用所有這些求出的值即可完成電源開關吸收器設計,然后就可以在應用中實現。
推薦閱讀:






