【導讀】POE (Power Over Ethernet)指的是在現有的以太網Cat.5布線基礎架構不作任何改動的情況下,在為一些基于IP的終端(如IP電話機、無線局域網接入點AP、網絡攝像機等)傳輸數據信號的同時,還能為此類設備提供直流供電的技術。POE技術能在確保現有結構化布線安全的同時保證現有網絡的正常運作,最大限度地降低成本。
1 概述:
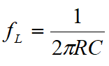
定義:PoE全稱Power Over Ethernet,是指10BASE-T、100BASE-TX、1000BASE-T以太網網絡供電,即數據線和電源線在同一根網線上傳輸,其可靠供電的距離最長為100米。
PoE供電系統包含兩種設備PSE和PD,PSE(power-sourcing equipment),主要是用來給其它設備進行供電的設備,PD(power device),在PoE供電系統中用來受電的設備。
2 POE主要供電特性
2.1 PSE特性參數:
(1)電壓在44~57V之間,典型值為48V
(2)允許最大電流為550mA,最大啟動電流為500mA
(3)典型工作電流為10~350mA,超載檢測電流為350~500mA
(4)在空載條件下,最大需要電流為5mA
2.2 PD功率等級
PD功率等級分為CLASS 0、CLASS 1、CLASS 2、CLASS 3、CLASS 4、CLASS 5
CLASS 0 設備需要的最高工作功率為0.44W ~12.95W
CLASS 1 設備需要的最高工作功率為0.44W ~3.84W
CLASS 2 設備需要的最高工作功率為3.84W ~6.49W
CLASS 3 設備需要的最高工作功率為6.49W ~12.95W
CLASS 4 設備需要的最高工作功率為12.95W ~25.5W
CLASS 5 設備需要的最高工作功率為>25W
設計師可以根據功率要求將他們的設備指定為特定的級別。
2.3 POE供電的工作過程
在分級階段,PSE將向PD施加15~20V的電壓,并通過測量電流大小來確定PD的特定級別。在此階段,PD的電源部分將被欠壓鎖定(UVLO)電路維持在無源狀態,以便隔離開關級,直至特征和分級階段完成。一旦分級完成后,PSE將會向PD提供全額工作電壓。
當在一個網絡中布置PSE供電端設備時,POE以太網供電工作過程如下所示:
檢測:
首先PSE會發送一個測試電壓給在網設備以探測受電設備中的一個24.9kΩ共模電阻。測試信號開始為2.5V,然后提升到10V,這將有助于補償Cat-5電纜自身阻抗帶來的損失。因為這種電纜最長可達100m。如果PSE檢測到來自PD的適當阻抗特征(24.9kΩ),它便會繼續提升電壓。如果檢測不到特征阻抗,PSE將不會為電纜加電。受電設備電路中的齊納二極管會保證系統其余部分不受測試信號的干擾。
PD端設備分類:
當檢測到受電端設備PD之后,PSE將向PD施加15~20V的電壓,并通過測量電流大小來確定PD的特定級別。如果除了探測到第一級的電阻外沒發現其他分級電路,該設備被定義成零級別。在此階段,PD的電源部分將被欠壓鎖定(UVLO)電路維持在無源狀態,以便隔離開關級,直至特征和分級階段完成。
開始供電:
分級完成后,在一個可配置時間(一般小于15μs)的啟動期內,PSE設備開始從低電壓向PD設備
a)供電,直至提供48V的直流電源。
b)供電:為PD設備提供穩定可靠48V的直流電,滿足PD設備不越過12.95W的功率消耗。
c)斷電:若PD設備從網絡上斷開時,PSE就會快速地(一般在300~400ms之內)停止為PD設備供電,并重復檢測過程以檢測線纜的終端是否連接PD設備。
3 POE電源模塊簡介
本次POE電源模塊采用MAX5969B和MAX5974A芯片來實現,功率等級為CLASS 4的POE電源。POE電源模塊的電路拓撲結構采用反激式變換器實現,運用變壓器原邊反饋穩壓以及副邊同步整流技術。輸入電壓范圍在36V~57V之間,輸出電壓穩點在5V,具有過壓保護、過流保護等特點。如圖1所示為POE電源的原理圖。

3.1 POE電源模塊芯片
芯片MAX5969B為用電設備(PD)提供符合以太網供電(PoE)系統IEEE802.3af/at標準的完整接口。MAX5969B為PD提供檢測信號、分級信號以及帶有浪涌電流控制的集成隔離功率開關。發生浪涌期間,MAX5969B將電流限制在180mA以內,直到隔離功率MOSFET完全開啟后切換到較高的限流值(720mA至880mA)。器件具有輸入UVLO,帶有較寬的滯回和長周期干擾脈沖屏蔽,以補償雙絞線電纜的阻性衰減,確保上電/掉電期間無干擾傳輸。MAX5969B輸入端能夠承受高達100V的電壓。
MAX5969B芯片特性如下:
(1)兼容于IEEE 802.3af/at
(2)2級事件分級
(3)簡易的墻上適配器接口
(4)0至5級POE分級
(5)100V絕對最大額定輸入
(6)180mA最大浪涌電流限制
(7)正常工作期間電流限制在720mA至880mA
(8)電流限制和折返式保護
(9)傳統的36V UVLO (MAX5969A)
(10)IEEE 802.3af/at兼容、40V UVLO (MAX5969B)
(11)過熱保護
(12)增強散熱的3mm × 3mm、10引腳TDFN封裝
如圖2所示為MAX5969B的引腳圖,接下來簡要介紹下每個引腳。

圖2 MAX5969B引腳圖
表1 MAX5969B引腳簡介


芯片MAX5969B工作過程的簡單介紹,MAX5969B有4種不同的工作模式:
PD檢測、PD分級、標記事件和PD供電模式。檢測模式是用來檢測設備是不是PD設備;分級模式是用來給PD設備確定輸入功率為多大;標記事件一般用于2級分級模式檢測;供電模式為正式給PD設備供電。
當輸入電壓在1.4V和10.1V之間時器件進入PD檢測模式;當輸入電壓在12.6V和20V之間時,器件進入PD分級模式;一旦輸入電壓超過VON,器件則進入PD供電模式。
檢測模式(1.4V≤ VIN ≤ 10.1V):
檢測模式下,PSE向VIN施加1.4V至10.1V范圍(最小步長為1V)的兩個電壓,并記錄這兩點處的電流測量值。然后,PSE計算DV/DI以確保連接了24.9kΩ特征電阻。在VDD和DET之間連接特征電阻(RDET),以確保正確的特征檢測。檢測模式下,MAX5969B將DET拉低。當輸入電壓超過12.5V時,DET變為高阻態。檢測模式下,MAX5969B的大多數內部電路都處于關斷狀態,偏置電流小于10μA。
分級模式(12.6V≤ VIN ≤ 20V) :
分級模式下,PSE根據PD所需的功耗對PD進行分級,使PSE能夠有效管理功率分配。0至5級的定義可通過查看數據手冊知道(IEEE 802.3af/at標準僅定義了0至4級,5級用于特殊要求)。CLS與VSS之間連接一個外部電阻(RCLS),用于設置分級電流。PSE通過向PD輸入施加電壓并測量PSE輸出的電流來確定PD的級別。當PSE施加的電壓在12.6V和20V之間時。PSE使用分級電流信息來對PD功率要求進行分級。分級電流包括RCLS吸收的電流和MAX5969B的電源電流。所以PD吸收的總電流在IEEE 802.3af/at標準的指標范圍之內。當器件處于供電模式時,則關閉分級電流。
供電模式(喚醒模式)
當VIN上升到欠壓鎖定門限(VON)以上時,MAX5969B進入供電模式。當VIN上升到VON以上時,MAX5969B開啟內部n溝道隔離MOSFET,將VSS連接至RTN,內部浪涌電流限制設置為135mA (典型值)。當RTN處的電壓接近VSS并且浪涌電流降至浪涌門限以下時,隔離MOSFET完全開啟。一旦完全開啟隔離MOSFET,MAX5969B將電流限制更改為800mA。在功率MOSFET完全開啟之前,電源就緒開漏輸出(PG)保持為低電平,持續時間至少為,以在浪涌期間禁止后續的DC-DC轉換器。
芯片還有一些其它的工作狀態,例如欠壓鎖定、熱關斷保護、墻上電源適配器檢測和工作等。
芯片MAX5974A為寬輸入電壓范圍、有源鉗位、電流模式PWM控制器,用于控制以太網供電(PoE)的用電設備(PD)中的正激轉換器。MAX5974A適用于通用或電信系統的輸入電壓范圍。芯片MAX5974A獨特的電路設計能夠在不需要光耦的前提下獲得穩定的輸出。
MAX5974A有很多特性,以下簡要介紹幾個:
(1)峰值電流模式控制、有源鉗位、正激PWM控制器
(2)無需光耦即可獲得穩壓輸出
(3)100kHz至600kHz可編程、±8%抖動控制的開關頻率,可同步至高達1.2MHz
(4)可編程頻率抖動,支持低EMI、擴頻工作
(5)可編程死區時間、PWM軟啟動、電流斜率補償
如圖3所示為芯片的引腳圖。

圖3 MAX5974引腳圖
表2 MAX5974A引腳簡介



3.2 輸入電路以及輸出電路簡介
輸入電壓取自于網絡端口的48V電源,輸入電壓經過兩個整流橋D1、D2,其中D26是一個瞬態抑制二極管SMBJ54A用來保護輸入過壓。
輸出電壓通過反激變壓器的副邊整流后得到,由于整流后脈動電壓較大,所以會在整流后添加輸出濾波電容,輸出濾波電容一般會選擇幾個大電容再加一個小電容并聯,大電容起到儲能和濾波的作用,小電容用來高頻去耦,幾個電容并聯可以將輸出電阻降到最小。本模塊POE電源選擇3顆封裝為1206,容值大小為47uF的陶瓷電容。反激變壓器選擇SIR412DP開關管實現有源整流,利用變壓器副邊繞組來獲得驅動電壓,這樣變壓器原邊就不需要消磁電路或者吸收電路,而是把能量用來驅動SIR412DP開關管,實現同步整流技術。開關管的漏極和源極并聯RCD吸收電路,用來抑制開關管漏源端的電壓尖峰而達到保護開關管的目的。雖然說MOSFET的是一種壓控壓型的開關管,但是對于開關管開通和關閉都是給開關管的寄生電容充電來打開或關閉,這就需要一定的驅動電流。所以在驅動電路中串聯一個10歐姆的電阻。
3.3 芯片外圍電路簡介
芯片MAX5969B主要作用體現在剛剛上電的時候和PSE供電模塊用來通信的芯片,對于每一個POE電源來說,這種類似的芯片是必不可少的。市面上有些號稱是POE電源的往往只是把48V的電壓變成5V或者其它的電壓,在上電的時候并沒有檢測、分級的階段,這對于受電設備來說是危險的。檢測電源是POE電源還是非POE電源的一般方法是,拿萬用表測量供電腳,一般是網絡端口的4,5、7,8腳,如果端口輸出是穩定的48V電壓,這說明電源是非POE電源;如果測量的電壓在2~10V跳動,則說明電源是POE電源,電壓跳動是在對PD端進行檢測。
芯片MAX5969B的VDD是電源引腳,VDD和VSS之間接有0.1uF的電容用來旁路,電容C7和C13用來儲能和濾波。
DET接一個24.9K的電阻到Vin,這個電阻是特征電阻不可更改,要是把這個電阻的阻值改變了,POE電源工作會不正常。
VSS引腳是接輸入整流過后的地端,VSS內部通過MOSFET管和變壓器原邊的接地端相連。當芯片處于檢測與分級階段時候,內部MOSFET處于斷開的狀態。
RTN引腳接變壓器原邊的地端,是后繼DC-DC的功率地端。
WAD引腳是用來接墻上適配器電源供電,本模塊的POE電源沒有用上墻上適配器,但是在電路設計的時候也考慮到了,只是沒有焊接相關器件。
PG引腳內部是MOSFET漏極輸出,在芯片內部的MOSFET完全開啟之前,PG保持為低電平,PG端接MAX5974A的使能端,故PG在保持低電平期間,MAX5974A是處于不工作狀態。PG外接1nF的電容旁路。
2EC引腳是2級事件檢測腳,本模塊沒有用上直接上拉100K電阻到RTN,以防PD設備處于2級狀態時,2EC引腳有一個回路。
CLS引腳是分級電阻輸入引腳,CLS引腳接多大電阻到VSS地端,就決定了POE電源是處于哪一級。可查看數據手冊知當接30.9歐姆電阻時,PD設備設置為4級電路狀態,也就是說PD設備要消耗12.95-25.5W的功率。
芯片MAX5974A是一款電源管理芯片,芯片內部集成了許多功能,只要根據芯片數據手冊推薦的外圍電路搭建方法,只需簡單的配置些電容和電阻很快就可以設計出一塊電源模塊。接下來將介紹芯片每個引腳外圍電路的搭建,來更好的理解芯片以及反激式開關電源。
DT引腳是用來設置死區時間的,由于MAX5974A這款芯片提供了兩個柵極驅動器輸出,一個是NDRV主開關柵極驅動器輸出,是用來驅動變壓器原邊是處于斷開狀態還是出來接通狀態。一個是AUXDRV是用來給變壓器副邊開關管實現同步整流的驅動信號,由于變壓器原邊開關管和變壓器副邊開關管不能夠同時開啟,盡管NDRV和AUXDRV是互補輸出的,但是由于開關管本身的開通和關斷過程不理想,在開通和關斷的時候有一定的時間延遲,故此需要添加一定的死區時間。死區時間設置時間在40ns至400ns之間,死區時間的設置是通過外接一個電阻到RTN地端,具體多大的電阻設置多長的死區時間,可通過如下公式得到:

本模塊選擇=27KW,死區時間就為108ns,對于這個死區時間已經足夠了,因為本次使用的MOSFET的延遲時間都在40ns以內。
DITHER/SYNC引腳為頻率加抖編程或者同步連接引腳。在DITHER/SYNC和RTN地之間連接一個電容,在DITHER/SYNC和RT之間連接一個電阻,可以在范圍內對轉換器的開關頻率加抖,從而降低EMI。具體過程是DITHER/SYNC處的電流源以50uA電流將電容C14充電至2V。達到該點后,以50uA電流將C14放電至0.4V。電容充電和放電會在DITHER/SYNC上產生一個三角波,峰值分別為0.4V和2V,通常情況下,頻率為1KHZ。電容C14的計算公式為:

本模塊選擇C14=10nF,其中連接電阻公式如下:

其中,%DITHER為加抖量,表示為開關頻率的百分比。將RDITHER設置為10 RRT,產生±10%的抖動。本模塊中沒有焊接次電阻,但是也預留了位置,需要的時候可以焊上次電阻。
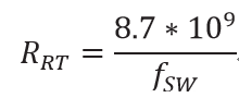
RT引腳是開關頻率編程電阻連接。將連接至RTN地,設置PWM開關頻率在100KHZ~600KHZ之間。可參考如下公式:

為PWM波的開關頻率,本模塊電源選擇為29.4K,也就是說開關頻率為296KHZ。
FFB引腳是頻率折返門限編程輸入。將一個電阻從FFB連接至RTN地,設置輸出平均電流門限。低于該門限時,轉換器將開關頻率折返至其原始值的1/2。該引腳連接至RTN地時,禁用頻率折返功能。這腳的功能是為了在輕載的時候降低開關頻率,以降低開關損耗,提高轉換器效率,節約能源的作用。連接的電阻計算可通過如下公式得到:
其中,RFFB為FFB和RTN地之間的電阻,ILOAD(LIGHT)為輕載條件下觸發頻率折返的電流,RCS為連接在CS和RTN地之間的檢測電阻,IFFB為FFB源出至RFFB的電流(30µA,典型值)。本模塊通過一個0歐姆電阻相連。
COMP引腳是跨導放大器輸出和PWM比較器輸入。使用電平轉換器將COMP轉換至低電平,并連接至PWM比較器的反相輸入。此引腳是用來改善環路穩定性,使輸出電壓穩定紋波小。本模塊采用二型環路補償網絡來實現環路的穩定,具體由原理圖中C15、C16和R10構成的電路來完成。
FB引腳是跨導放大器反相輸入。MAX5974A包含一個帶有采樣-保持輸入的內部誤差放大器。誤差放大器的同相輸入連接至內部基準,在反相輸入提供反饋。高開環增益和單位增益帶寬可實現良好的閉環帶寬和瞬態響應。采用下式計算變壓器原邊耦合的輸出電壓:

MAX5974A的為1.52V,其中反饋電壓可通過如下公式得到:

本模塊的
本模塊的反饋電壓取自于變壓器原邊耦合的電壓,而沒有使用傳統的利用TL431和PC817的方案來獲得反饋電壓從而使輸出電壓穩定,但是在電路設計的時候也預留了TL431和PC817反饋的方案來獲得輸出電壓穩定。變壓器原邊耦合的電壓還有一個作用就是給MAX5974A芯片提供電源輸入。可通過設置反饋部分的電壓來改變輸出電壓,可以由如下公式可知:

其中, VOUT為輸出電壓, NC/NO為耦合輸出與主輸出繞組的匝數比。選擇的匝數比要使VCOUPLED高于UVLO關斷電平(7.35V,最大值)達一定裕量,該裕量由“跨越”一次掉電所需的保持時間決定。
SGND引腳為信號地引腳連接到RTN地。
CSSC引腳帶有斜率補償輸入的電流檢測。連接在CSSC與CS之間的電阻用于設置斜率補償量。器件在CSSC端產生電流斜坡,其峰值在振蕩器占空比為80%時達50μA。連接在CSSC至CS的外部電阻將該電流斜坡轉換至可編程斜率補償幅值,加至電流檢測信號,用于穩定峰值電流模式控制環路。斜率補償信號的變化率由下式給出:

其中,m為斜率補償信號的變化率;RCSSC為連接在CSSC和CS之間的電阻值,用于設置變化率;fSW為開關頻率。本模塊選擇電阻R18為4.02K。
CS引腳是電流檢測輸入。用于平均電流檢測和逐周期限流的電流檢測連接。峰值限流觸發電壓為400mV,反向限流觸發電壓為-100mV。連接在n溝道MOSFET源極和RTN地之間的電流檢測電阻(典型應用電路中的RCS)用于設置限流值。限流比較器的電壓觸發電平(VCS-PEAK)為400mV。利用下式計算RCS值:

其中,IPRI為變壓器原邊的峰值電流,該電流也流經MOSFET。當該電流(通過電流檢測電阻)產生的電壓超過限流比較器門限時,MOSFET驅動器(NDRV)在35ns()內終止電流導通周期。本模塊的限流電阻選擇R21、R25為1206封裝阻值為0.25歐姆。利用一個小型RC網絡,對檢測波形上的前沿尖峰進行額外的濾波。濾波電路的角頻率設置在10MHz至20MHz之間。本模塊選擇R26為499歐姆和電容C24為330pF。
PGND引腳為功率地接RTN地端。PGND為柵極驅動器的開關電流回路。
NDRV引腳為主開關柵極驅動器輸出。此腳通過一個小電阻接到主開關管SI7450的柵極來驅動SI7450。此腳輸出的頻率為296KHZ。
AUXDRV引腳pMOS有源鉗位開關柵極驅動器輸出。AUXDRV亦可驅動脈沖變壓器,用于同步反激應用。此引腳和NDRV為互補輸出,本模塊是采用變壓器副邊耦合來驅動輸出整流開關管,故此腳并沒有用上,處于懸空狀態,但是在設計的時候,把其驅動的外圍電路也包含了進去,需要用其來驅動輸出整流開關管時可以把相關電路焊上,但是不能同時有變壓器副邊耦合驅動和用AUXDRV驅動存在。
VC引腳是轉換器電源輸入。IN具有寬UVLO滯回,能夠實現高效率電源設計。當使用使能輸入EN設置電源的UVLO電平時,在IN和PGND之間連接一個齊納二極管,確保VIN總是被鉗位至低于其絕對最大額定值26V。本模塊的電源輸入取自變壓器原邊耦合的電壓,變壓器原邊耦合的電壓通過D10整流后給芯片的VC,芯片VC和RTN地之間接有22V穩壓管D28以及電容C4和C37。其中與二極管D10并聯的RC電路是用來,在上電瞬間防止二極管有大電流的沖擊,在上電瞬間電流先通過RC電路,而保護二極管D10。
EN引腳使能輸入。當EN電壓低于VENF時,柵極驅動器被禁用,器件處于低功耗UVLO模式。當EN電壓高于VENR時,器件檢查其它使能條件。使能輸入EN用于使能或禁用器件。EN連接至IN時,器件始終保持工作。EN連接至地時,可禁用器件,并將電流損耗降低至150μA。本模塊的EN端通過一個100K的電阻連接到VC端,EN端也和MAX5969B的PG引腳相連,以用于在供電之前禁用MAX5974B。
DCLMP引腳是前饋最大占空比鉗位編程輸入。在輸入電源電壓DCLMP和GND之間連接一個電阻分壓器。DCLMP上的電壓設置轉換器的最大占空比(DMAX),該值與輸入電源電壓成反比,所以MOSFET在發生瞬態期間仍然處于受保護狀態。可以由如下公式得到分壓電阻:
本模塊
分別為原理圖中的R8和R7。

SS引腳是軟啟動編程電容連接。在SS和GND之間連接一個電容,設置軟啟動周期。該電容還決定打嗝模式限流的重啟時間。SS和GND之間的電阻亦可用于設置低于75%的DMAX。在SS和GND之間連接一個電容CSS,設置軟啟動時間。VSS控制啟動期間的振蕩器占空比,使占空比緩慢、平滑地增大至其穩態值。按下式計算CSS值:

其中,ISS-CH (10μA,典型值)為軟啟動期間的CSS充電電流,tSS為設置的軟啟動時間。通過在SS和地之間連接電阻,可將SS上的電壓設為低于2V。VSS計算如下:
本模塊電源選擇電容C3=22nF,電阻R35=1MW。
3.3 變壓器和開關管的選擇
反激變壓器設計的成功與否很大一部分要取決于變壓器設計的好壞,不同的電路拓撲結構有不同的計算公式,但是基本都是基于AP法來設計變壓器。有些做電源具有豐富經驗的人往往能夠設計出很好的變壓器,并且在設計的時候并沒有過多的計算。通過公式所計算出來的變壓器參數往往只有變壓器匝比、線徑、變壓器磁芯以及變壓器骨架等,要想設計一個好的變壓器只有這些是不夠的,還要考慮變壓器的繞法,變壓器怎樣繞是一個重要的參數。因為不同的變壓器繞法所得到的變壓器最終性能有很大差別,比如采用三明治繞法的變壓具有較低的漏感。反正變壓器的設計有太多東西需要考慮,如果所繞的變壓器性能較差,可以適當調整匝數、改變繞法或者換一個變壓器磁芯等。
本模塊選用外購的變壓器Sumida T225,因為本模塊的開關頻率較高,對于變壓器尺寸也有所要求,經過多次討論決定外購變壓器而不是自己繞。通過測試發現此變壓器性能很好,變壓器在重載的時候沒有什么異常發生,輸出電壓也正常。
反激式開關電源的開關管選擇要滿足漏源能夠承受輸入電壓外加變壓器副邊耦合過來的電壓的1.5倍,才能保證開關管不會在關斷的時候被擊穿。開關管漏源也要能夠流過2倍的輸入電流,才能保證開關管不會因過流導致損壞。開關管的損耗在整個電源模塊損耗中占有一定比例,一般會選擇開關管上升和下降時間短的MOSFET,保證在開關管導通和關閉的一段時間里電壓和電流疊加的部分少,降低開關管的損耗。
4 電源PDN和紋波噪聲
4.1 電源PDN
電源紋波噪聲測試是一個比較復雜的測試難題,不同方法測量到的結果不同,即使同一種測試方法不同人測試結果一般也會存在差別。
對于終端類產品,不管是CPU、GPU、DDR等,其芯片內部都有成千上萬的晶體管,芯片內不同的電路需要不同的電源供電,常見有Vcore、Vcpu、Vmem、VIO、Vgpu、Vpll等,這些電源有DC-DC電源模塊供電,也有LDO電源模塊供電,都統一由PMU來管理。
如圖4所示,為芯片的PDN圖,芯片的供電環路從穩壓模塊VRM開始,到PCB的電源網絡,芯片的ball引腳,芯片封裝的電源網絡,最后到達die. 當芯片工作在不同負載時,VRM無法實時響應負載對電流快速變化的需求,在芯片電源電壓上產生跌落,從而產生了電源噪聲。對于開關電源模塊的VRM,電源自身會產生和開關頻率一致的電源紋波,始終疊加在電源上輸出。對于電源噪聲,需要在封裝、PCB上使用去耦電容,設計合理的電源地平面,最終濾去電源噪聲。對于電源紋波,需要增大BULK電感或者BULK電容。

圖4 芯片電源分布網絡(PDN)示意圖
對于板級PCB設計,當頻率達到一定頻率后,由于走線的ESL、電容的ESL的影響,已經無法濾去高頻噪聲,業界認為PCB只能處理100MHz以內的噪聲,更高頻率的噪聲需要封裝或者die來解決。因此對于板級電源噪聲測試,使用帶寬500M以上的示波器就足夠了。一般情況下,示波器的帶寬越大,低噪也會隨之上升,因此建議測試電源時示波器的帶寬限制為1GHz。
4.2 電源紋波和電源噪聲
電源紋波和電源噪聲是一個比較容易混淆的概念,如下圖5所示,藍色波形為電源紋波,紅色波形為電源噪聲。電源紋波的頻率為開關頻率的基波和諧波,而噪聲的頻率成分高于紋波,是由板上芯片高速I/O的開關切換產生的瞬態電流、供電網絡的寄生電感、電源平面和地平面之間的電磁輻射等諸多因素產生的。因此,在PMU側測量電源輸出為紋波,而在SINK端(耗電芯片端,如AP、EMMC、MODEM等)測量的是電源噪聲。

圖5 電源紋波噪聲圖
電源紋波測量時,限制示波器帶寬為20MHz,測量PMU電源輸出的波形峰峰值即可電源紋波。由于PMU芯片在設計完成后,芯片廠商會做負載測試,測試PMU在不同負載時輸出電源的紋波情況,因此在終端類產品板上,沒必要在做這方面的測試,紋波大小參考PMU手冊即可。
電源噪聲測試時,測試點放在SINK端,由于SINK端工作速度大都在幾十MHz以上,因此示波器帶寬設置為全頻段(最高為示波器帶寬上限),測試點要盡量靠近測試芯片的電源引腳,如果存在多個電源引腳,應該選擇距離PMU最遠端的那個引腳。電源噪聲跟PCB布局布線,DECAP電容的位置的位置相關,同時電源噪聲影響CPU的工作狀態和單板的EMI,終端類產品板需要對每塊單板測試電源噪聲。
5 常見的紋波噪聲測試方案
5.1 紋波噪聲測試基本要求
目前芯片的工作頻率越來越高,工作電壓越來越低,工作電流越來越大,噪聲要求也更加苛刻,以MSM8974的CORE核為例,電壓為0.9V,電流為3A,要求25MHz時,交流PDN阻抗為22mohm,電源噪聲要求在±33mV以內。對于DDR3芯片,要求VREF電源噪聲在±1%以內,若1.5V供電,則噪聲峰峰值不大于30mV。

這類低噪聲的電源測試非常具有挑戰,影響其測量準確性的主要有如下幾點:
(1)示波器通道的底噪;
(2)示波器的分辨率(示波器的ADC位數);
(3)示波器垂直刻度最小值(量化誤差);
(4)探頭帶寬;
(5)探頭GND和信號兩個測試點的距離;
(6)示波器通道的設置;
在測試電源噪聲時,要求如下條件:
(1)需要在重負載情況下測試電源紋波;
(2)測試電源紋波時應該將CPU、GPU、DDR頻率鎖定在最高頻;
(3)測試點應該在SINK端距離PMU最遠的位置;
(4)測試點應該靠近芯片的BALL;
(5)帶寬設置為全頻段;
(6)示波器帶寬大于500MHz;
(7)噪聲波形占整個屏幕的2/3以上或者垂直刻度已經為最小值;
(8)探頭地和信號之間的回路最短,電感最小;
(9)測試時間大于1min,采樣時間1ms以上,采樣率500Ms/s以上;
(10)紋波噪聲看Pk-Pk值,關注Max、Min值;
5.2 高通濾波器特性分析
示波器有AC和DC兩種耦合方式,當采用AC耦合時,其內部等效電路如圖6所示,C為隔值電容,R為終端對地阻抗,Vi為輸入信號,Vo為測量信號,濾波器的截止頻率為
為信號頻率,則有:


圖6加隔值電容后高通濾波器等效電路
表3 不同隔值電容對應的頻點

5.3 無源探頭DC耦合測試
使用無源探頭DC耦合測試,示波器內部設置為DC耦合,耦合阻抗為1Mohm,此時無源探頭的地線接主板地,信號線接待測電源信號。這種測量方法可以測到除DC以外的電源噪聲紋波。
如圖7所示,當采用普通的鱷魚夾探頭時,由于地和待測信號之間的環路太大,而探頭探測點靠近高速運行的IC芯片,近場輻射較大,會有很多EMI噪聲輻射到探頭回路中,使測試的數據不準確。為了改善這種情況,推薦用無源探頭測試紋波時,使用右圖中的探頭,將地信號纏繞在信號引腳上,相當于在地和信號之間存在一個環路電感,對高頻信號相當于高阻,有效抑制由于輻射產生的高頻噪聲。更多時候,建議測試者采用第三種測試方法,將一個漆包線繞在探頭上,然后將漆包線的焊接到主板地網絡上,移動探頭去測試每一路電源紋波噪聲。同時無源探頭要求盡量采用1:1的探頭,杜絕使用1:10的探頭。

圖7 無源探頭地線兩種處理方法
對于示波器,若垂直刻度為xV/div,示波器垂直方向為10div,滿量程為10xV,示波器采樣AD為8位,則量化誤差為10x/256 V。例如一個1V電源,噪聲紋波為50mV,如果要顯示這個信號,需要設置垂直刻度為200mV/div,此時量化誤差為7.8mV,如果把直流1V通過offset去掉,只顯示紋波噪聲信號,垂直刻度設置為10mV即可,此時的量化誤差為0.4mV。
使用無源探頭DC耦合測試,示波器設置如下:
(1)1Mohm端接匹配;
(2)DC耦合;
(3)全帶寬;
(4)offset設置為電源電壓;
5.4 無源探頭AC耦合測試
使用無源探頭DC耦合需要設置offset,對于電源電壓不穩定的情況,offset設置不合理,會導致屏幕上顯示的信號超出量程,此時選擇AC耦合,使用內置的擱置電路來濾去直流分量。對于大多數的示波器,會有如下參數,設置為AC耦合,此時測量的為10Hz以上的噪聲紋波。

圖8 示波器兩種耦合方式頻點
使用無源探頭AC耦合測試,設置如下:
(1)1Mohm端接匹配;
(2)AC耦合;
(3)全帶寬;
(4)offset設置為0
5.5 同軸線外部隔直電容DC50歐耦合測試
由于無源探頭的帶寬較低,而電源開關噪聲一般都在百MHz以上,同時電源內阻一般在幾百毫歐以內,選擇高阻1Mohm的無源探頭對于高頻會產生反射現象,因此可以選擇用同軸線來代替無源探頭,此時示波器端接阻抗設置為50歐,與同軸線阻抗相匹配,根據傳輸線理論,電源噪聲沒有反射,此時認為測量結果最準確。
利用同軸線的測量方法,最準確的是采用DC50歐,但是大部分示波器在DC50歐時offset最大電壓為1V,無法滿足大部分電源的測量要求,而示波器內部端接阻抗為50歐時,不支持AC耦合,因此需要外置一個AC電容,如圖9所示,當串聯電容值為10uF時,根據表3可以看到,此時可以準確測試到2KHz以上的紋波噪聲信號。

圖9 同軸線DC50測量圖
5.6 同軸線AC1M歐耦合測試
由于從PMU出來的電源紋波噪聲大多集中在1MHz以內,如果采用同軸線DC50外置隔直電容測量方法,低頻噪聲分量損失較為嚴重,因此改用圖10所示的測量方法,利用同軸線傳輸信號,示波器設置為AC1M,這樣雖然存在反射,但是反射信號經過較長CABLE線折返傳輸后,影響是有限的,示波器在R2上采集電壓值可以認為仍然可以被參考。

圖10 同軸線AC1M測量圖
為了避免反射,在同軸線接到示波器的接口處端接一個50ohm電阻,使示波器輸入阻抗和cable線特征阻抗匹配。

圖11 同軸線AC1M測量改進圖
5.7 差分探頭外置電容DC耦合測試
由于示波器的探頭地和機殼地通過一個小電容接在一起,而示波器的機殼地又通過三角插頭和大地接在一起,在實驗室里,幾乎所有的設備地都和大地接在一起,示波器內部地線接法如圖12所示,因此上面介紹的兩種方法都無法解決地干擾問題,為了解決這個問題,需要引入浮地示波器或者差分探頭。

圖12示波器內部地線接法
如圖13所示,為差分接法,由于差分探頭為有源探頭,外置差動放大器,可以將待測信號通過差分方式接入,使示波器的地和待測件地隔離開,達到浮地效果。但是差分探頭在示波器內部只能DC50歐耦合,而offset最大一般不超過1V,因此需要在差分探頭上串聯隔直電容。使用差分探頭測量時關鍵是探頭的CMRR要足夠大,這樣才能有效抑制共模噪聲

圖13差分探頭外置電容DC耦合接法示意圖
5.8 差分探頭衰減DC耦合測試
當采用差分探頭外置電容DC耦合時,同樣存在截止頻率的問題,測量的結果會損失一些低頻分量,為了解決這個問題,可以將差分探頭衰減10倍,示波器會將采集到的電壓值乘10顯示出來,這個時候offset設置也會放大到10V,能夠滿足終端類產品的直流電壓偏置。

圖14 差分探頭衰減DC耦合測試接法示意圖
6 電源模塊電壓測試
由于本模塊是POE電源,測試所使用的輸入電壓取自于網口,PSE供電模塊會和本模塊先進行握手通信,PSE設備確定后面所接的是PD設備后,才給PD設備供電。如圖15所示為一個PoE SWITCH設備。

圖15 PoE SWITCH設備
如圖16所示為本模塊電路,電路長大約6.2cm,寬大約2.65cm,高大約1.5cm。

圖16 POE電源模塊
由于給POE電源是通過網口供電的,本模塊沒有特別設計一個網絡端口來給供電,而是使用“硬件十萬個為什么”提供的開發板,此開發板是用來給物聯網編程用的,屬于工業兼學習使用的一塊開發板,可以使用開發板來實現wifi、GPRS、藍牙、串口、LORA、POE等功能的使用,故直接選擇此塊開發板來實現網絡端口供電。如圖17所示為網絡供電端口。

圖17 網絡端口供電模塊
6.1 輸入電壓測量
圖18所示為通過網絡端口過后在POE電源輸入端口測的電壓,此次所使用的示波器是鼎陽牌SDS1000X-C數字示波器。

圖18 輸入電壓波形
輸入電壓也有一定的紋波,圖19所示就是輸入電壓的紋波,可以看出紋波還是比較小的,是可以接受的紋波范圍。

圖19 輸入電壓紋波測試
6.2 輸出電壓測量
本模塊輸出電壓應該是5V輸出,但是由于很難把電壓一直穩定在5V不變。
圖20所示就是輸出電壓測試,從萬用表中看出,輸出電壓在5.1V。

圖20 輸出電壓測試
輸出電壓也是有紋波的,圖21所示就是輸出電壓的紋波測試圖。

圖21 輸出電壓紋波
從輸出紋波可以看出,此紋波在可接受范圍內的。
7 總結
本文檔簡要介紹了POE電源的基礎知識,以及整塊電路芯片以及元件選型,電路原理的介紹。電源紋波的產生以及測試方法的介紹,POE電源的測試設備介紹,以及輸入輸出電壓的測量等。
推薦閱讀:



