- 電阻的串聯分壓/并聯分流應用
- 電阻的反饋應用
- 電阻的偏置應用
- 電阻的上拉和下拉應用
【CLASS 1】電阻選型與應用知識系列大講臺—電阻基礎知識大搜羅
http://aolaiaolisita.com/art/artinfo/id/80010906?page=1
【CLASS 2】電阻選型與應用知識系列大講臺—電阻檢測與失效分析
http://aolaiaolisita.com/art/artinfo/id/80011025
【CLASS 3】電阻選型與應用知識系列大講臺—電阻的基本選型原則及案例分析
http://aolaiaolisita.com/art/artinfo/id/80011142
【CLASS 4】電阻選型與應用知識系列大講臺—電阻的應用(1)
http://aolaiaolisita.com/art/artinfo/id/80011295
【CLASS 5】電阻選型與應用知識系列大講臺—電阻的應用(2)
http://aolaiaolisita.com/art/artinfo/id/80011670
在上一講中主要涉及三大基本定律(電阻定律、歐姆定律、焦耳定律)和四大基本電路(串聯分壓、并聯分流、阻抗匹配和RC充放電路),本講將有針對性的通過一些具體的電路,深入分析電阻的應用。
串聯分壓/并聯分流應用
這是一道頗具爭議性的問題,相信很多高考生、大學生甚至是已經參加工作幾年的工程師朋友咋一看都會為之花眼,下面請看題:

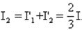
如圖1所示,三個電阻的阻值相等,電流表A1、A2和A3的內電阻均可忽略,它們的示數分別為I1、I2和I3,則I1:I2:I3=______:______:______.
分析:根據電路,畫出等效電路圖,如圖2所示。

其中:
第一支線由a點經A2到C點,再經R到d點;
第二支線由a點經A2到C點,經R到b點,經A3到d點;
第三支線由a點經R到b點,再經A3到d點.
不計電流表內電阻時,三個電阻并聯.設總電流為I,則通過每個電阻的電流
反饋應用
Buck變換器由于具有效率高的優點而被廣泛應用于手機、GPS、MP3等移動多媒體設備上,目前很多電源管理芯片制造廠商都推出了不同電流能力的Buck變換器,這類變 換器雖然在電流能力和保護功能方面存在一些差異,但是他們電路的主框架結構是基本一致的,主要可以分為兩個部分:一是實現電能轉換的主功率部分,另一部分 是實現負反饋控制的控制電路。下圖是BCD半導體公司的Buck變換器AP3406的典型應用圖,黃色框里是對反饋電阻的作用做簡要分析。

反饋作用1:設置輸出電壓
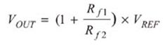
反饋電阻Rf1和Rf2的第一個作用是設置Buck電路的輸出電壓值,如圖3所示,穩態時,運算放大器的反相輸入端和同相輸入端電壓是相等的,于是可以得到輸出電壓計算公式(其中VREF是芯片內部基準電壓(本例中為0.6V)):

反饋作用2: 影響系統穩定性和動態響應
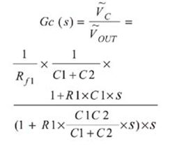
圖3黃色框中同時也是電路的補償網絡部分,補償網絡中包括 R1,C1,C2和Rf1(注:Rf2在環路分析中不起作用),補償網絡的傳遞函數可以表示為:

從上式可以看出補償網絡產生了兩個極點,其中一個極點在0點,另一個極點為

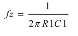
同時還產生了一個零點

從上面分析可以知道,Rf1在補償網絡中的作用是改變中頻段增益,對補償網絡中的零極點不會有影響,隨著Rf1的增大,幅頻特性往下平移,相頻特性不變。
因此,當補償網絡進入系統環路之后,Rf1的作用是使環路增益的幅頻特性上下平移,同時環路增益的相頻特性保持不變。
延伸閱讀可點擊:http://aolaiaolisita.com/art/artinfo/id/80011669
[page]
偏置應用
放大電路靜態工作點直接影響到放大電路的性能,靜態工作點設置過低或者過高都會使放大電路動態范圍減小,使得輸入信號較大時輸出信號產生截止或者飽和失真,下面以“定基流偏置電路”來對電阻的偏置應用作一介紹。


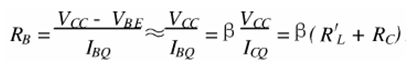
其中,

上式是偏置電阻的表達式,從式子可以看出偏置電阻阻值不僅與集電極電阻有關,還與三極管電流放大系數、負載有關,也就是說我們可以通過調整負載來調整三極管的偏置情況。
上拉和下拉電阻作用和選用原則
作用:
1、提高電壓準位:a.當TTL電路驅動COMS電路時,如果TTL電路輸出的高電平低于COMS電路的最低高電平(一般為3.5V),這時就需要在TTL的輸出端接上拉電阻,以提高輸出高電平的值。b.OC門電路必須加上拉電阻,以提高輸出的搞電平值。
2、加大輸出引腳的驅動能力,有的單片機管腳上也常使用上拉電阻。
3、N/A pin防靜電、防干擾:在COMS芯片上,為了防止靜電造成損壞,不用的管腳不能懸空,一般接上拉電阻產生降低輸入阻抗,提供泄荷通路。同時管腳懸空就比較容易接受外界的電磁干擾。
4、電阻匹配,抑制反射波干擾:長線傳輸中電阻不匹配容易引起反射波干擾,加上下拉電阻是電阻匹配,有效的抑制反射波干擾。
5、預設空閒狀態/缺省電位:在一些 CMOS 輸入端接上或下拉電阻是為了預設缺省電位. 當你不用這些引腳的時候, 這些輸入端下拉接 0 或上拉接 1。在I2C總線等總線上,空閑時的狀態是由上下拉電阻獲得。
6. 提高芯片輸入信號的噪聲容限:輸入端如果是高阻狀態,或者高阻抗輸入端處于懸空狀態,此時需要加上拉或下拉,以免收到隨機電平而影響電路工作。同樣如果輸出端處于被動狀態,需要加上拉或下拉,如輸出端僅僅是一個三極管的集電極。從而提高芯片輸入信號的噪聲容限增強抗干擾能力。
選擇原則
1、從節約功耗及芯片的灌電流能力考慮應當足夠大;電阻大,電流小。
2、從確保足夠的驅動電流考慮應當足夠?。浑娮栊。娏鞔?。
3、對于高速電路,過大的上拉電阻可能邊沿變平緩。
綜合考慮以上三點,通常在1k到10k之間選取。對下拉電阻也有類似道理。
完






