【導讀】工程師需要在系統設計過程中,精確的計算出不同的數值,并采取相應措施減少無功損耗。這里將會通過雙向型DC-DC變換器的功率開關元件損耗計算及對續流二極管的損耗產生原因分析,為工程師詳細介紹其損耗數值的計算方式。
DC-DC變換器功率開關元件損耗值計算
在雙向型的DC-DC變換器運行工作過程中,功率開關元件IGBT是變換器內部的主要損耗源之一,而功率開關元件的損耗基本上可以按照其運行狀態分為兩個部分:導通損耗和開關損耗。導通損耗是指當開關元件已經開通后,并且驅動和開關波形已經穩定以后,功率開關元件處于導通狀態時的損耗。這里將會針對雙向DC-DC轉換器的功率開關元件IGBT的損耗計算,進行簡要分析介紹。
在DC-DC轉換器正常運行的過程中,功率元件的開關損耗是出現在IGBT從一個工作狀態進入另一個新的工作狀態,驅動和開關波形處于過渡過程中的損耗。在開關工作的過程中,元件的電壓、電流波形如下圖所示:

IGBT的電壓、電流波形圖
在了解了功率開關元件的電壓、電流波形圖后,下面我們分別了解一下如何計算其導通損耗和開關損耗。在功率元件正常工作狀態下,功率開關元件的導通損耗可以通過IGBT兩端電壓和電流波形的乘積得出。電壓、電流波形都是近似線性,其在導通期間的功率損耗可以由下式給出:

導通損耗過高很容易造成轉換器的有效功率降低,對整體系統的運行穩定也會有一定的影響。想要降低導通損耗,最典型方法是使IGBT導通期間的電壓降最小。要達到這個目的,必須使功率開關工作在飽和狀態。因此,可以通過對IGBT基極的過電流驅動,從而確保功率器件工作在飽和狀態。
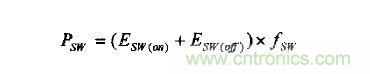
在了解了導通損耗的計算方法后,接下來我們再來看一下開關損耗的計算方式。IGBT的開關損耗計算過程,相比較導通損耗來說就比較復雜了。這一部分的損耗既有功率器件本身的因素,也有相關元器件的影響。功率開關元件的開關損耗的計算,一方面可以通過示波器觀察得到開關過程中的電壓、電流波形,然后粗略的計算出兩條曲線所包圍的面積,從而求得IGBT的開關損耗。另一方面,如果功率開關元件的使用手冊中給出了開關損耗的曲線,那么也可以直接從開關損耗的曲線上讀出開通損耗和關斷損耗的數值,然后根據下式計算得出功率開關元件的開關損耗值,式中fsw為變換器的開關頻率:

以上就是針對雙向型DC-DC變換器的功率開關元件損耗計算所進行的簡要分析和介紹,希望能夠對工程師的新產品研發和設計工作有所幫助。
[page]
DC-DC變換器功率續流二極管損耗計算
在電源系統設計的過程中,工程師常常需要用到DC-DC變換器進行能量轉換,這種電子器件目前已經被廣泛的應用在不同的工業領域中。然而在工作運行過程中,即便是轉換器本身也是會出現一部分損耗的,這部分通常是由續流二極管、功率器件等產生的。工程師需要在系統設計過程中,精確的計算出不同的數值,并采取相應措施減少無功損耗。這里將會通過對續流二極管的損耗產生原因分析,為工程師詳細介紹其損耗數值的計算方式。
此前我們曾經就功率器件的損耗計算展開過詳細介紹,與DC-DC轉換器中功率器件的損耗產生方式相同,續流二極管的損耗同樣也可以分成開關損耗和導通損耗。在變換器的工作過程中,續流二極管的電壓、電流波形如下圖所示。

圖為二極管的電壓、電流波形
所謂的導通損耗,指的是在二極管正向導通并且當電流、電壓波形穩定時的損耗。工程師如果想要采取相應措施降低導通損耗數值,可以通過選擇流過一定電流時正向壓降較小的二極管來實現。目前轉換器中應用比較多的是普通續流二極管和肖特基二極管兩種。普通的二極管具有比較平坦的正向電壓一電流特性,然而它的電壓降卻比較高,肖特基二極管的電壓降比較低,但是它的正向電壓—電流特性卻比普通二極管的要陡一些,因此,隨著電流的增大,肖特基二極管的正向電壓的增加要比普通二極管更大些。這是工程師在進行損耗降低設計時需要注意的。
與功率器件的開關損耗值計算相同的是,雙向DC-DC轉換器中續流二極管的開關損耗計算也是比較復雜。所謂的開通損耗,是指二極管兩端加上正向電壓到二極管電流達到穩定值,在這一過程中二極管的損耗。一般情況下二極管的開通損耗不是很大,可以進行忽略。二極管的關斷損耗主要是由于二極管的反向恢復電流造成的損耗。當反向電壓加在二極管的兩端時,二極管的反向恢復特性由PN結內的載流子決定,這些遷移率受限的載流子需要從原來進入PN結的反方向出去,從而形成了流過二極管的反向電流。反向電流同時還會增加功率開關的損耗,從上圖中我們可以明顯地看到IGBT開通期間的電流峰值。因此,根據二極管的電壓、電流波形,通過近似處理,則續流二極管的關斷損耗的一般計算公式為:

在這里需要就該公式中出現的一些參數進行簡要說明,以方便工程師進行計算和理解。在該計算公式中,參數ID(RM)為續流二極管的反向恢復電流的最大值,參數Kf為續流二極管反向恢復電流ID(RM)的溫度系數,需要說明的一點是,當DC-DC變換器續流二極管的結溫為100攝氏度時則參數Kf=1.1。參數trr為二極管的反向恢復時間。



