【導讀】或統計中的第四中心矩,通常用于估計信號(或數據)的統計分布的形狀。它被廣泛用于檢測非正態性 在數字通信系統、無源微波輻射測量、時間序列分析、圖像處理和射電天文學中使用的通信接收器接收的信號中,僅舉幾例。它還可用于檢測某些調制方案中的能量和功率,以及測量通信系統的系統間干擾。在大多數情況下,峰度主要用于檢測是否存在強烈的人為射頻干擾,這些干擾會污染分布并使其不正常。
或統計中的第四中心矩,通常用于估計信號(或數據)的統計分布的形狀。它被廣泛用于檢測非正態性 在數字通信系統、無源微波輻射測量、時間序列分析、圖像處理和射電天文學中使用的通信接收器接收的信號中,僅舉幾例。它還可用于檢測某些調制方案中的能量和功率,以及測量通信系統的系統間干擾。在大多數情況下,峰度主要用于檢測是否存在強烈的人為射頻干擾,這些干擾會污染分布并使其不正常。峰態計算如公式 1 所示。
在哪里:
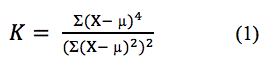
K 是峰度值
X 是輸入數據
是計算中考慮的 N 個樣本的平均值
代表平均值
在正態(高斯)分布的情況下,峰度為 3。由于我們正在計算有限數量樣本的峰度,因此估計值會有一些由估計誤差定義的不確定性,因此對于正態分布,該值將是 3 ± d(估計誤差)。因此,對于被視為正態分布的給定輸入數據集,Kurtosis 的值必須位于這些限制范圍內。
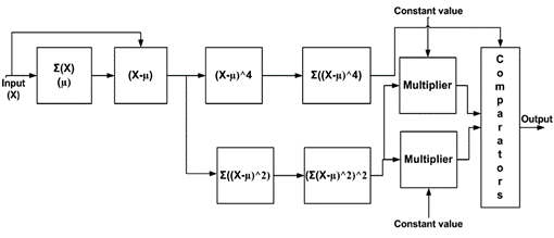
在 FPGA 或其他 DSP 平臺上計算峰度是計算密集型的,主要是因為它需要除法運算。本設計思想完全避免了除法,使用兩個乘法器和其他模塊來判斷輸入數據是否通過峰態測試。這種方法利用了這樣一個事實,即為了檢查分布的正態性,只需要確定峰度值是否在定義的范圍內。
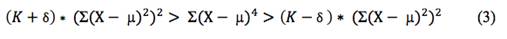
計算峰態的傳統方法涉及除法,如公式 2 所示。
重寫公式 2 以避免除法需要兩個乘法器,
如公式 3 所示。兩種情況都需要比較器。
消除除法運算可顯著節省 FPGA 資源。在 8 位輸入的情況下,必須對大于 16 位的被除數和除數進行除法。這是因為計算需要多次平方和累加運算,每都會導致位增長。除法的消除也使得單周期吞吐量的實現相對簡單。這些特性使該技術易于集成到實時信號處理系統中,特別是對于面積和時序受限的設計。公式 3 描述的設計框圖如圖1所示。
圖 1 設計框圖
如果窗口大小發生變化,可以通過更改 K 和 d 的預期值來擴展此想法以發現正態分布以外的分布異常。
通過提供 8 位純高斯信號、具有脈沖干擾的高斯信號和正弦信號的數字樣本,該設計在 Xilinx FPGA 上進行了測試。該設計是使用 Xilinx System Generator 創建的,使用 Virtex-5 FPGA 上大約 2% 的硬件資源來處理窗口大小為 1024 個樣本的 8 位數據。該設計已經過高達 250 MHz 時鐘頻率的測試。使用除法器的設計將需要大約 8-10% 的 FPGA,并且會增加峰度計算的延遲。
乘法器塊用作固定點,每個輸入一個是常數(估計誤差)。在乘法器塊中添加的延遲由z -3 參數表示,表示三個時鐘周期,添加該延遲是為了滿足時序要求。乘數之后是一組比較器,用于檢查峰度是否在規定的限制范圍內。比較輸出進行“與”運算以獲得終輸出。輸出值“1”表示輸入分布是高斯分布,“0”表示其他情況。
盡管該設計在基于 FPGA 的實時系統中作為檢測器進行了測試,用于去除因干擾而損壞的樣本,但它對于實施基于軟件的峰度測試也很有效。
峰態計算在數字信號處理和數字通信領域的應用有:
去除無源微波輻射計高靈敏度通信接收機接收數據中的射頻干擾。用于衛星有效載荷以消除脈沖干擾和調制 來自接收信號的干擾。
減輕射頻干擾以提高射電望遠鏡接收器的靈敏度。它有助于消除由于電力線火花、汽車、通信發射機等引起的時域和頻域脈沖干擾。
檢測和去除由于時域和譜域信號中的脈沖干擾引起的非正態性。
查找數字通信接收器中接收信號的統計分布。這有助于在存在干擾的情況下測試接收器性能。
基于開關鍵控的調制中的能量和功率檢測,對某些超寬帶系統很有用。
系統間干擾的測量。
免責聲明:本文為轉載文章,轉載此文目的在于傳遞更多信息,版權歸原作者所有。本文所用視頻、圖片、文字如涉及作品版權問題,請聯系小編進行處理。
推薦閱讀:





