【導讀】首先,我們會討論具有低靜態電流 (IQ) 的放大器以及增加反饋網絡電阻值與功耗的關系 。
了解運算放大器電路中的功耗
首先,我們會討論具有低靜態電流 (IQ) 的放大器以及增加反饋網絡電阻值與功耗的關系。
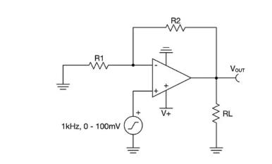
讓我們首先考慮一個可能需要關注功率的示例電路:電池供電的傳感器在 1kHz 時生成 50mV 幅度和50mV偏移的模擬正弦信號。信號需要放大到0V至3V 的范圍以進行信號調節(圖 1),同時要盡可能節省電池電量,這將需要增益為30V/V的同相放大器配置, 如圖 2 所示。那么,我們應該如何來優化該電路的功耗呢?

圖1: 示例電路中的輸入及輸出信號(圖片來源: Texas Instruments)

圖2:傳感器放大電路(圖片來源:Texas Instruments)
運算放大器電路的功耗由多種因素組成,分別是靜態功率、運算放大器輸出功率和負載功率。靜態功率 (或簡稱PQuiescent) 是保持放大器開啟所需的功率,數據表中一般以 IQ(靜態電流)表示,例如下圖中Texas Instruments OPA391規格書中的顯示。
輸出功率 ( POutput )是運算放大器輸出級驅動負載時消耗的功率。很后,負載功率( PLoad )是負載本身消耗的功率。
在本例中,我們有一個單電源運算放大器,其正弦輸出信號具有直流電壓偏移。因此,我們將使用以下等式來計算總平均功率 (Ptotal avg) 。電源電壓由V 表示, Voff是輸出信號的直流偏移,Vamp是輸出信號的幅度,RLoad是運算放大器的總負載電阻。需要留意的,平均總功率與IQ直接相關成正比,而與RLoad成反比。

由于從以上公式5和6中有多個可變項,在選料時很好只考慮一項。選擇具有低IQ的放大器是降低整體功耗的很直接策略。當然,在這個過程中有一些權衡。例如,具有較低IQ的設備通常具有較低的帶寬、較大的噪聲并且可能更難以穩定。
由于不同類型的運算放大器的 IQ 可能存在倍數級的差異,因此花時間選擇合適的放大器是值得的。以下引用TI的TLV9042、OPA2333、OPA391和TLV8802作比較。單純從數字上的分析,對于需要很大功率效率的應用,TLV8802將是一個很好的選擇。

表1 : 各類低功耗運算放大器比較表
降低負載網絡的電阻值
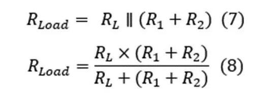
現在繼續考慮公式 5 和 6 中的其余項。Vamp項相互抵消,對Ptotal,avg和Voff沒有影響,通常由應用中預先確定。換句話說,系統無法使用Voff來降低功耗。類似地,V 軌電壓通常由電路中可用的電源電壓設置。另外,RLoad也是由應用預先確定的。但是,RLoad是包括任何負載輸出的組件,而不僅是負載電阻器RL。在圖 1 所示電路的情況下,RLoad將包括RL和反饋組件R1和R2。因此,RLoad將由等式7和8定義如下。
通過增加反饋電阻的值,系統中放大器的輸出功率亦相應降低。當Poutput支配PQuiescent時,此技術特別有效,但也有其局限性。如果反饋電阻變得明顯大于RL,則RL將主導RLoad,從而使功耗停止下降。大反饋電阻器還會與放大器的輸入電容相互作用,使電路不穩定并產生明顯的噪聲。
為了很大限度地減少這些組件的噪聲產生,很好將在每個運算放大器輸入端(見下圖4)看到的等效電阻的熱噪聲與放大器的電壓噪聲頻譜密度進行比較。經驗法則是確保放大器的輸入電壓噪聲密度規格至少是從放大器的每個輸入端觀察到的等效電阻的電壓噪聲的三倍。
使用這些低功耗設計技術,讓我們回到很初的問題:在1kHz下生成0到100mV模擬信號的電池供電傳感器需要30V/V的信號放大率。下圖5比較了兩種設計。左側的設計使用典型的3.3V電源、尺寸不考慮節能的電阻器和TLV9002通用運算放大器。右側的設計使用更大的電阻值和更低功耗的TLV9042運算放大器。請注意,當TLV9042反相輸入端等效電阻約為9.667kΩ時,噪聲頻譜密度是少于放大器的寬帶噪聲的三分之一,以確保運算放大器的噪聲在電阻器產生的任何噪聲中占主導地位。

圖5:典型設計與細微的設計(圖片來源:Texas Instruments)
使用圖5中的值、設計規范和兩款運算放大器的規格,可以利用公式6分別得出TLV9002設計和TLV9042設計的Ptotal,avg。結果分別顯示于公式 9 和 10 。
從以上結果得出,TLV9002設計的功耗是TLV9042設計的四倍多。這是較高放大器IQ的結果,亦顯示利用高IQ的運算放大器,就算嘗試使用低反饋電阻值的情況下,亦不會有顯著的功耗節省。以上例子我們有兩個技巧,就是增加電阻值和選擇具有較低靜態電流的運算放大器。這兩種策略在大多數運算放大器應用中都可用。
使用低電壓軌省電
再重溫公式 1 和 6 定義具有正弦信號和直流偏移電壓的單電源運算放大器電路的平均功耗:
另外,從公式6中的V 是代表線路的電源軌(V ),它是直接與功耗成正比,所以將電源軌 (V )設置為電路中很低可用的電源電壓,這也是一個降低功耗的方法。許多運算放大器的很低電源電壓范圍為2.7V或3.3V。之所以有此限制的原因,與將內部晶體管維持在所需工作范圍內所需的很低電壓有關。一些運算放大器設計用于低至1.8V甚至更低的電壓。例如,TLV9042通用運算放大器可以在1.2V電壓軌下工作。
電池供電的應用
當今的傳感器和智能設備大部分是由電池供電,電池的端電壓在放電時會從其標稱額定電壓降低。例如,一節堿性AA電池的標稱電壓為1.5V。第yi次空載測量時,實際端電壓可能接近1.6V。隨著電池放電,該端電壓會下降到1.2V甚至更遠。
使用能夠在低至1.2V 的電壓下工作的運算放大器而不是更高電壓的運算放大器進行設計,可提供以下優勢:
1. 運算放大器電路將繼續工作更長時間,即使電池接近其充電周期的終點并且其端電壓下降。
2. 運算放大器電路可以使用一個1.5V電池工作,而不需要兩個電池來形成3V電源軌。
要了解為什么較低電壓的運算放大器可以從電池中獲得更長的壽命,請考慮圖6中所示的電池放電圖。電池通常具有類似于此曲線的放電周期。電池的端電壓將開始接近其標稱額定值。隨著電池隨時間放電,端電壓會逐漸降低。一旦電池接近充電結束,電池的端電壓將迅速下降。如果運算放大器電路僅設計為在接近電池標稱電壓的電壓下工作,例如V1,則電路的工作時間t1將很短。然而,使用能夠在稍低電壓下工作的運算放大器,例如V2,可顯著延長電池的工作壽命t2。
雖然這種影響會因電池類型、電池負載和其他因素而異,不過很明顯,擁有低運作電源的運算放大器比有較長的運作時間。
低電壓數字邏輯電平
對數字和模擬電路使用低電壓軌的應用也可以利用具有低電源電壓能力的低功耗運算放大器。數字邏輯具有從5V到1.8V及以下的標準電壓電平(圖7)。與運算放大器電路一樣,數字邏輯在較低電壓下變得更加節能。因此,較低的數字邏輯電平通常更可取。
為了簡化設計過程,您可以選擇為您的模擬和數字電路使用相同的電源電壓電平。在這種情況下,具有1.8V能力的運算放大器(例如高jing度、寬帶寬OPA391或成本優化的TLV9001)可以證明是有其優勢的。但需要留意的是,如果要求設計能應用于1.2V數字軌,線路系統中必須確保清除任何可能從數字電路泄漏到模擬設備電源引腳的噪聲。
總結
在本文中,我們介紹了如何利用運算放大器的參數規格快速找出能提供低功耗特性的運算放大器,這些方法包括在頻寬容許下,選擇低靜態電流的運算放大器,以及在反饋電路中選擇較大數值的電阻器。選擇使用低電壓軌及低電壓數字邏輯電平,也是確保運算放大器低功率時可以考慮的另外兩個因素。
(來源:維庫電子市場網)
免責聲明:本文為轉載文章,轉載此文目的在于傳遞更多信息,版權歸原作者所有。本文所用視頻、圖片、文字如涉及作品版權問題,請電話或者郵箱editor@52solution.com聯系小編進行侵刪。
推薦閱讀:




