【導讀】隨著電力電子應用越發趨于高壓與高功率密度,單個模塊已經無法滿足其需求,功率器件的并聯應用由于其經濟性與可行性成為了解決該矛盾的有效方法。然而,并聯系統的總體布局無法達到完全的對稱,使得理想化的靜、動態電流分布難以實現進而限制了并聯器件的利用率。
摘要
隨著電力電子應用越發趨于高壓與高功率密度,單個模塊已經無法滿足其需求,功率器件的并聯應用由于其經濟性與可行性成為了解決該矛盾的有效方法。然而,并聯系統的總體布局無法達到完全的對稱,使得理想化的靜、動態電流分布難以實現進而限制了并聯器件的利用率。本文主要分析和比較了驅動電路結構和功率回路耦合特性對于并聯IGBT均流特性的影響,并通過試驗進行了驗證。
引 言
作為一種電壓控制型器件,絕緣柵雙極型晶體管(insulated-gate bipolar transistor,IGBT)由于其通態壓降低、開關速度高、通流能力強等特點,在軌道交通、可再生能源和工業傳動等領域中應用廣泛。考慮到成本及系統的復雜度,通常會以功率器件并聯的方式提高功率變流器的電流容量[1],與此同時,各廠商還會優化器件的內部結構以及在驅動電路的并聯控制能力上投入資源以滿足用戶的需求[2]。具有低寄生電感、高功率密度、可擴展性和模塊化特點的LinPak[3-4],XHP[5-6],LV/HV100等半橋模塊可以為提升并聯系統電流密度及節約成本提供助力[7-8]。盡管半橋IGBT模塊上、下橋臂間的寄生參數得到了有效抑制,來自直流側母排和負載路徑的寄生電感仍會對均流特性產生較大影響,因此,分析驅動方式和功率回路寄生參數在均流特性上產生的影響對于進一步提升并聯系統的功率密度及可靠性具有重要意義[9]。
本文在第二章節對于兩種常用于IGBT并聯的驅動電路結構進行了討論,并在下一章節通過理論公式推導和電路仿真,就耦合產生的互感對于并聯系統均流特性的影響進行了分析,隨后,通過試驗比較了兩種并聯驅動方式的差異并驗證對于功率回路耦合特性的相關分析。
驅動方式對于并聯IGBT的影響
現有的商業化IGBT并聯驅動電路可簡單地分為單核驅動和多核驅動兩種,此處的單核驅動是指僅將控制信號通過一個驅動核隔離、放大后經過各IGBT上安置的適配板實現其并聯開關,當各并聯IGBT的適配板僅含有門極驅動電阻、門極電容以及用于過流保護的二極管等無源器件時驅動核與適配板間引線長度的不一致會對并聯IGBT的動態均流特性產色較大的影響(如圖1(a)左側部分所示)。在增添了推挽結構后(如圖1(a)右側部分所示),由于驅動輸出側更加靠近門極,使得引線長度差異引起的不均流得到了更好的抑制[10-14]。
本文中的多核驅動(如圖1(b)所示)通過設置互相磁隔離的分立驅動單元方式實現各IGBT模塊門極驅動信號間的解耦。這種結構通常對于各分立單元間驅動信號的一致性有著較高的要求,僅幾十納秒的延遲差異或幾百毫伏的門極電壓差異都會引發嚴重的動態不均流問題。雖然單核驅動方式在成本和電路復雜程度上較于多核驅動方式具有一定的優勢,但該種驅動方式下,驅動信號回路與功率回路均存在公共點,由此而引入的環路問題將會對門極電壓產生較大的影響。
功率回路結構對并聯IGBT的影響
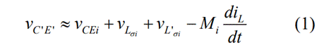
當并聯IGBT在較小感性負載(本次研究中為20μH)下處于通態時,并聯IGBT所在支路間以及并聯IGBT支路與負載所在路徑間的磁耦合將會對并聯IGBT的靜態均流特性帶來消極的影響。由于負載電感值遠大于功率回路寄生電感,假設剛進入通態時各并聯IGBT的集電極電流變化率幾乎相等,各并聯支路的壓降可以表示為:
考慮了寄生電感L’σi與Lσc,它們可與互感系數Mi一同對耦合效應進行描述,其中L’σi表示在空間上與負載線纜平行的導體的自感,它們包括IGBT模塊內部的母排或平面導體以及模塊外部的疊層母排和匯流銅排等。相對地,Lσi表示支路中與負載線纜在空間上相垂直的導體的自感。當各并聯IGBT所在支路具有較為接近的幾何尺寸且對稱分布時,可以近似地認為Lσ1=Lσ2=Lσ3=Lσ4且L’σ1=L’σ2=L’σ3=L’σ4。由于L’σi與Lσc間存在磁耦合,與構成vC’E’的其它電壓方向相反的感應電壓Mi·(diL/dt)將存在于各支路上。互感系數通常與導體的尺寸與兩導體間距離的比值有關,而在導體尺寸保持不變的情況下,兩導體距離越近,互感系數Mi的越大,進而使得此時刻對應通態飽和壓降VCEi越大,與之對應的集電極電流也會越大。實際上,各并聯支路間的互感也會在一定程度上對均流特性產生影響[15-17],本次研究則更多地關注并聯IGBT所在支路與負載路徑將的耦合效應。
圖2.考慮耦合效應的并聯等效電路
圖3.負載線纜及單個IGBT內部結構示意
互感系數Mi在用于連接并聯IGBT的母排和IGBT封裝內部的部分導體上均有所體現,例如在圖3[18]中,屬于IGBT內部的“collector plane”和“emitter plane”與負載線纜亦存在著磁耦合。因此,對于負載線纜與IGBT支路(包括“collector/emitter plane”及IGBT封裝外部的母排)間互感的分析可簡化為圖4所示的結構,負載線纜和IGBT支路可以分別簡化為一根流過電流為IL長直導線和一塊矩形金屬薄片(“d”和“l”分別為金屬薄片的寬度和長度)。
圖4.簡化后模型示意
通過在式(2)和式(3)中計算的磁感應強度與磁通量,互感系數M可以通過式(4)得到,該式表明互感系數M與負載線纜和IGBT支路間的距離以及支路的幾何尺寸有關,當負載線纜與支路間的水平距離縮小到一定程度時將會有效地影響互感系數M的大小。
考慮到負載線纜與IGBT支路幾乎在同一水平面這一較為嚴重的磁耦合情況,由此列舉的兩類耦合方式如圖5所示。互感系數M的求解可以轉化為式(5)所示的形式,考慮實際應用時的尺寸及計算的簡化,每個IGBT支路被近似為長度l為290mm的矩形金屬薄片。為了進一步簡化計算,考慮各并聯IGBT以互相緊靠的方式完成安置,式(5)中負載線纜與IGBT支路間的水平距離“a”的值被設定為支路導體寬度“d”的倍數。若要在此基礎上進行更為的計算,則需要考慮構成IGBT所在支路中每一部分導體上的互感
耦合類型A
耦合類型B
圖5.兩種耦合類型示意
通過近似計算,得到了耦合類型A中各并聯IGBT支路的互感系數:M1≈40nH,M2≈17nH,M3≈11nH, M4≈9nH;類似地,耦合類型B中:M1≈20nH, M2≈64nH,M3≈64nH,M4≈20nH。
如圖6所示,通過PSpice軟件對兩類耦合方式搭建測試電路進行了仿真。憑借“ANALOG”庫中的“K_Linear”元件以及用于代替IGBT的理想開關,負載線纜與各IGBT所在支路間的耦合效應得以實現,耦合類型A和B對應的靜態電流分布分別如圖7和圖8所示。
圖6.仿真電路
通過在式(6)中定義不均衡度δ以衡量均流特性。結合仿真波形與式(6)進行計算,可得到總電流接近1000A時,耦合類型A中不均衡度δ=12.09%,同樣可得到耦合類型B中不均衡度δ=17.66%。在圖5(a)所示結構的基礎上,將負載線纜與T1管間的水平距離增加至“3d”(即a1=3d,a2=5d, a3=7d,a1=9d)得到了圖9所示的電流分布,其不均衡度δ=4.33%,各支路互感系數M1≈17nH, M2≈11nH,M3≈9nH,M4≈6nH。
圖7.耦合類型A靜態電流分布
圖8.耦合類型B靜態電流分布
圖9.耦合類型A’靜態電流分布
測試方案及實驗結果
為了實際觀測兩種驅動方式的工作特性,搭建了由英飛凌FF450R33TE3模塊組成的并聯特性雙脈沖測試平臺如圖10所示。由于示波器通道限制,觀測對象為T1管門極電壓以及T1、T2、T3管下橋臂的集電極電流(使用羅氏線圈進行測量)。兩種驅動方式下的測試波形如圖11所示(測試時母線電壓為1000V,總電流為1000A)。
圖10.并聯特性雙脈沖測試平臺
通過圖11可知,單核驅動方式下并聯IGBT的集電極電流在開關過程中開始上升或下降的一致性較好,但門極電壓易受到環路電流的影響產生振蕩;多核驅動方式下的門極電壓雖然更加穩定,在開通過程中由于各門極電壓達到閾值的時刻不一致使得集電極電流開始上升的時刻存在近180ns的差異。觀測到的靜態不均流現象主要于功率回路磁耦合效應,它的相關驗證將在接下來的內容中進行說明。
單核驅動測試波形
多核驅動測試波形
圖11.兩種驅動方式下雙脈沖測試波形示意
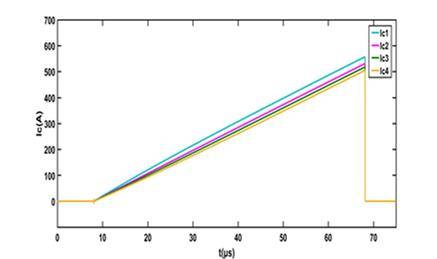
圖5(a)和圖5(b)對應的兩類耦合類型在雙脈沖測試下的靜態均流特性如圖12(a)和圖12(b)所示,耦合類型對應的實驗數據如表1所示,通過式(6)計算可知耦合類型A中不均衡度δ=32.78%,耦合類型B中不均衡度δ=19.08%。與仿真得到的結果相比,負載線纜與水平方向相平行的部分也可能經過與母排或模塊內部導體平面的磁耦合對均流特性產生了影響,使得雙脈沖測試得到的耦合類型A、B對應集電極電流分布和不均衡度較于仿真仍存在一定的差距。
耦合類型A集電機電流分布
耦合類型B集電機電流分布
圖12.兩種耦合類型集電極電流分布
耦合類型A集電機電流分布
耦合類型A集電機電流分布
圖13.耦合類型C結構示意及其均流特性
通過增大產生耦合效應的負載線纜與并聯IGBT支路間的距離以抑制互感系數并加強耦合支路間的對稱性,可以使得靜態均流特性得到進一步的改善。由此對應的耦合類型C的實際結構與靜態均流特性如圖13所示,該耦合類型下并聯IGBT的集電極電流分布為:IC1=283A,IC2=274A,IC3=272A,IC4=255A,而不均衡度δ則被抑制到了2.58%。
表1.兩種耦合類型下的靜態電流分布
結論及后續工作
通過討論電路結構和進行測試,對比了兩類并聯驅動方式工作特性的差異。利用等效電路及雙脈沖測試,分析了負載路徑與并聯IGBT所在支路間存在的磁耦合在感性負載較小的情況下,由于互感系數的差異對于并聯IGBT的靜態均流特性產生的影響,隨后提議了一種靜態均流特性更好的功率回路配置方式。
免責聲明:本文為轉載文章,轉載此文目的在于傳遞更多信息,版權歸原作者所有。本文所用視頻、圖片、文字如涉及作品版權問題,請聯系小編進行處理。
推薦閱讀:
2023第17屆中國國際電池及儲能技術博覽會(IBEE Global 2023)——東莞站



