【導讀】本文介紹的頻率抖動技術是通過將固定的開關工作頻率設為在一定范圍內抖動的頻率,使得本該集中在固定頻率處的輻射頻譜分散到所設定的頻帶范圍,以降低輻射電平滿足電磁兼容性的要求。此技術可以對開關電源中的電磁干擾進行有效的抑制。
引言
開關電源以其小型、輕量和高效率的特點被廣泛應用于幾乎所有的電子設備,是當今電子信息產業飛速發展中不可缺少的一種電源方式[1-3]。但是隨著開關電源工作頻率的不斷提高,高頻工作頻率中所含有的高頻諧波成分將會通過電源傳輸線或是空間電磁場的方式向外部傳播,造成傳導干擾和輻射干擾[4, 5]。近年來伴隨通訊及控制技術的發展,各種高頻數字電路對開關電源電磁兼容性(EMC)的要求更加嚴格,如何減小電磁干擾(EMI)已經成為開關電源設計中的一大難點。
目前提出的一些降低開關電源電磁干擾技術,例如:PWM 隨機開關調制技術和混沌調制技術,電路結構都相對復雜且實現成本大。本文中所采用的頻率抖動技術相對以上兩種技術實現相對簡單,其原理是:通過將固定的開關工作頻率設為在一定范圍內抖動的頻率,使得本該集中在固定頻率處的輻射頻譜分散到所設定的頻帶范圍,以降低輻射電平滿足電磁兼容性的要求。
1 周期性頻率抖動振蕩器
1.1 振蕩器的系統結構框圖
本文所設計的周期性頻率抖動振蕩器[6,7]的系統框圖如
圖1:振蕩器系統框圖
由圖1可以看出,頻率抖動振蕩器由一個張弛振蕩器加上一個頻率抖動模塊構成。其工作原理:首先,開關 S1閉合,電流源 I0給電容 Cc充電,充電剛開始時電容 Cc上極板的電壓小于 BG1和 BG2,RS 觸發器的輸出被置為低電平 0,當電容上極板電壓 VA大于 BG2時,RS 觸發器的輸出狀態處于保持狀態,直到上極板電壓 VA大于 BG1之后 RS 觸發器的輸出翻轉被置為高電平1;此時,開關 S2導通,電流源 I1給電容Cc放電,當VA減小到小于 BG1時,RS 觸發器的輸出處于保持狀態,當VA減小到小于 BG2時,RS 觸發器翻轉被置為低電平 0 ;于是,開關 S1又閉合開始對 Cc充電,如此周而復始,得到一個頻率固定的振蕩器。圖1中的電流源I0、 I1的電流相等,則振蕩器的占空比為 0.5。頻率抖動控制模塊是通過計數器來周期性的切換加入到張弛振蕩器中充放電電容的大小,改變電壓 VA的充放電速度,從而來達到周期性的改變振蕩器頻率的目的,即實現了振蕩器頻率的抖動。
1.2 張弛振蕩器設計
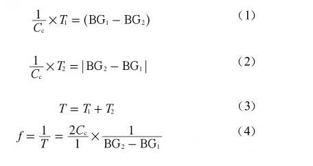
張弛振蕩器[8-10]的電路圖如圖 2 所示。M0、M1管鏡像電流為圖1中的電流源 I0,M4、M5鏡像電流為圖1中的電流源I1,且 I0=I1=I。M6~ M12和 C0、C1、C2、C4構成頻率抖動模塊,通過計數器來不斷切換 MOS 開關的通斷來改變充、放電電容的大小,實現頻率抖動功能。 M13為振蕩器提供起振條件,在電源上電后 M13管導通,經過 5 μs 后 M13管關斷。使電容上電后上極板電壓 VA瞬間放電將為低電平 0,RS 觸發器置為0 電平,OSC 為 O 電平,M2管導通 M3管截止,電流從 M0、M1管流向電容 Cc充電,當電壓 VA沖到大于 BG1時,OSC 為高電平1;此時 M2 管截止 M3 管導通,于是對電容 Cc放電,直到VA放電到低于 BG2,OSC 翻轉,如此往復上述過程,即得到了一個頻率固定的張弛振蕩器。此振蕩器的頻率可以通過如下公式推導得到。

從(4)式可以看出,可以通過改變電容 Cc、充放電電流I 和電壓差值 BG2- BG1能夠實現任意頻率的振蕩器。本文中所設計的周期性頻率抖動振蕩器的中心頻率為100 kHz,抖動范圍為±4 kHz。
1.3 頻率抖動控制模塊
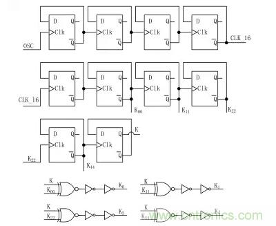
本文中所設計的頻率抖動控制模塊是通過計數器來控制圖 2 中 M6~ M12開關管的通斷來周期性的改變充放電電容的大小來實現的。頻率抖動控制模塊的電路圖如圖 3 所示,由7 個 D 觸發器串聯構成 512 分頻觸發器,第 8 個 D 觸發器的輸出信號加入到異或門用于實現計數器 K4,K2,K1,K0加減法計數切換,保證加入到張弛振蕩器中的電容不會出現瞬時的大容值的變換,從而引起振蕩器的振蕩頻率有過大的變化。本文中所設計振蕩器的中心頻率為100 kHz,頻率抖動范圍為±4 kHz,頻率從 96 kHz,100 kHz,104 kHz 周期性地變化,頻率抖動周期為 5 ms。
2 仿真結果
本文基于 BCD 0.5 μm 25 V 工藝,使用 Cadence Spectre對振蕩器進行仿真。張弛振蕩器未加頻率抖動模塊的仿真結果如圖 4 所示,圖中張弛振蕩器的振蕩頻率為100 kHz,占空比為 0.5。
頻率抖動模塊的輸出仿真波形如圖 5 所示,計數器 K0,K1,K2,K4實現了加減法交替功能,從而周期性頻率抖動振蕩器的振蕩頻率為平穩的完成周期性的變化。
圖2:張弛振蕩器
圖 6、圖 7 分別為對不加頻率抖動和加了頻率抖動進行傅里葉分析的頻譜圖,對比圖 6 和圖 7 可以看出加了頻率抖動電路之后在固定頻率處的頻譜幅值下降了大約11 dB,由此可見頻率抖動電路對減小 EMI 的效果非常明顯。

圖3:頻率抖動模塊

圖4:張弛振蕩器仿真曲線

圖5:頻率抖動模塊

圖6:未加頻率抖動的頻譜

圖7:加入頻率抖動的頻譜
3 結語
本文采用 BCD0.4μm 25 V 工藝設計了一款周期性的頻率抖動振蕩器,采用張弛振蕩器實現固定頻率振蕩器,通過加減法計數器控制加入張弛振蕩器中電容的大小來改變振蕩器的頻率,從而使原本集中在固定頻率處的頻譜分散到其它頻率點上。本文所設計的周期性頻率抖動振蕩器的中心頻率為100 kHz,頻率抖動范圍為±4 kHz,加頻率抖動模塊之后100kHz 處的頻譜下降了大約11 dB,減小電磁干擾的效果非常明顯。該頻率抖動振蕩器結構簡單,且減小EMI 效果好,在開關電源芯片設計中具有非常實用的價值。





