【導讀】諸如磁場感應、校準和科學實驗的許多應用都經常用高頻亥姆霍茲線圈來產生均勻但隨時間變化的高頻磁場。產生這樣的磁場需要用到高頻亥姆霍茲線圈驅動器。因為磁場密度正比于電流,所以為了產生大的磁場,需要產生大的電流。然而,在高頻情況下線圈阻抗也變成高阻抗了。
對于一個給定的驅動器電壓幅度,線圈電流反比于線圈阻抗。因此影響磁場的兩個相反因素是電流和頻率。實現高頻磁場是很困難的。本文討論了三種幫助高頻亥姆霍茲線圈產生強磁場的技術。
高頻亥姆霍茲線圈基礎
亥姆霍茲線圈是因德國物理學家Hermann von Helmholtz而命名的,由兩個完全相同且并行放置的電磁線圈組成,這兩個線圈中心在同一軸線上,就像鏡像一樣,如圖1所示。當電流以相同方向經過這兩個高頻亥姆霍茲線圈時,就會在線圈內的三維空間內產生一個高度均勻的磁場。這些亥姆霍茲線圈經常用于抵消背景(地球)磁場、測量和校準,以及電子設備敏感性測試中的磁場。

圖1:單軸高頻亥姆霍茲線圈由一對半徑為R、間距等于R的兩個線圈組成。
亥姆霍茲線圈的設計和制造
高頻亥姆霍茲線圈是由兩個線圈搭建而成的。因為兩個磁性線圈設計成完全相同,因此當線圈半徑等于間隔距離時就能產生均勻的磁場。這兩個線圈以串聯的方式連接在一起,因此給它們饋送的電流相同,從而產生兩個相同的磁場。這兩個磁場疊加在一起就會在兩個并行線圈中心的圓柱形空間中產生均勻的磁場。
這個圓柱形空間的均勻磁場約等于25%的線圈半徑(R),長度等于兩個線圈之間間距的50%。高頻亥姆霍茲線圈可以做成1、2或3軸。多軸磁性線圈可以在亥姆霍茲線圈對內部的三維空間內產生任意方向的磁場。最常見的高頻亥姆霍茲線圈是圓形的。方形的亥姆霍茲線圈也經常使用。
亥姆霍茲的磁場計算
每個亥姆霍茲線圈都是由電(銅)線環制成。當電流經過它時就會產生磁場。磁場密度正比于電流。亥姆霍茲線圈磁場公式如下:

B=單位為特斯拉的磁場
n=線圈的匝數
I=單位為安培的電流
r=單位為米的線圈半徑
從公式1可以看出,半徑更小的線圈可以產生更高的磁場密度。每個線圈中匝數越多,磁場也越強。
高頻亥姆霍茲線圈模型
亥姆霍茲磁場可以用交流也可以用直流產生。大多數亥姆霍茲線圈應用是使用直流產生的靜態(恒定)磁場。像科學試驗等一些應用需要用到高頻率的非靜態磁場(kHz到MHz)。本文主要討論高頻亥姆霍茲線圈。

圖2:串聯方式連接的兩個亥姆霍茲線圈的電路模型。
圖2顯示了由一對高頻線圈組成的電路模型。每個線圈可以被建模為一個寄生電阻串聯一個理想的電感。寄生電阻的阻抗一般很小。對于大多數高頻亥姆霍茲線圈應用來說,由于測試頻率遠低于自諧振頻率,因此這種模型是足夠的。
如果亥姆霍茲線圈的工作頻率足夠接近其自諧振頻率,那么電路模型還必須包含其寄生電容(CP1和CP2)。寄生電容與串聯的每組電感電阻呈并聯關系,如圖3所示。

圖3:高頻亥姆霍茲線圈被建模為兩個串聯的LCR電路。
寄生電容和電感形成自諧振頻率。雖然線圈被設計成盡可能匹配,但它們之間的一些小差異還是可能存在的。每個線圈有它自己的串聯電阻和寄生電容。寄生電容和線圈電感形成自諧振頻率。
高頻亥姆霍茲線圈連接
高頻亥姆霍茲線圈可以串聯(圖2)或并聯(圖4)。串聯使得流經兩個磁性線圈的電流完全相同。一般串聯可以支持最大的電流,從而可以產生最強的磁場。然而,由于兩個線圈是串聯的,總的阻抗也加倍了。更高的阻抗要求更高的驅動放大器電壓。如果使用下面所述的諧振技術,阻抗就可以減小。

圖4:并聯的亥姆霍茲線圈。
并聯亥姆霍茲線圈的優勢是具有更低的阻抗。事實上阻抗減小一半,但電流也減小一半(電流被分成了兩份),因此磁場更小。如果在一半電流條件下達到了所要求的磁場密度,并且要求低阻抗,比如在低壓放大驅動器場合,那么并聯就是可接受的。有關亥姆霍茲線圈阻抗的更多細節將在下面的直接驅動法章節中討論。
驅動高頻亥姆霍茲線圈
產生高頻交流磁場有三種方法。第一種方法是直接驅動法。這種方法是產生測試用磁場的最簡單方法。它很容易改變頻率和待測磁場。第二種方法是串聯諧振法。這是產生強磁場和頻率高達數百kHz甚至MHz磁場的很好方法。第三種方法是使用新的電流放大型諧振方法。這種方法產生最高的磁場密度。下面將詳細介紹每種方法。
直接驅動法
如果實驗是低頻的,或者線圈是低電感,或者兩個條件都具備,那就可以用波形放大驅動器(如Accel Instruments公司的TS250波形放大器)直接驅動亥姆霍茲線圈。由于是低頻或低電感,所以線圈阻抗足夠低,可以被放大器直接驅動,如圖5和圖6所示。

圖5:TS250波形放大器驅動一對亥姆霍茲線圈。

圖6:用波形放大器直接驅動一對串聯亥姆霍茲線圈的電路圖。

I是峰值電流
ω是角頻率,ω=2πf
L1+L2是總的電感,
R1+R2是總的電阻。
可以使用公式1計算獲得目標磁場所需的線圈電流。然后使用公式2計算所需的最大電壓。注意要忽略小的寄生電阻。最大電壓出現在電流和頻率同時達到最大值之時。接著就可以用大電流與高頻率放大驅動器(比如TS250函數發生放大器)驅動亥姆霍茲線圈。
串聯諧振法
如果產生的磁場是高頻的,亥姆霍茲線圈阻抗將隨頻率的提高而增加(Z = jwL)。在高頻時,線圈阻抗會很高,因此需要高電壓驅動大電流流過線圈。舉例來說,在200kHz時一個2mH的線圈阻抗是2512Ω。如果用40V來驅動這個線圈,你將得到約16mA(40V/2512Ω = 16mA)的電流。對大多數應用來說,這個電流不足以產生足夠強的磁場。強磁場應用需要更大的線圈電流。為了驅動2A的電流流過線圈,需要高達5024V的電壓!而在200kHz時產生5kV的電壓都很困難。
為了實現大電流和高頻電磁場,推薦使用串聯諧振技術。

圖7:波形放大器驅動處于諧振點的亥姆霍茲線圈中流過大電流。
為了操作處于諧振模式的高頻亥姆霍茲線圈,需要增加一個串聯電容,如圖7所示。串聯電容的阻抗具有與電感相反的極性。這樣電容就作為一個阻抗抵消器件,它會減小總的阻抗。在諧振時,電容的電抗(阻抗的虛數部分)可完全抵消電感的電抗。這是因為電感和電容的電抗幅度相等,但極性相反。
因此只有電感的寄生電阻保留了下來。由于只剩電阻,函數發生放大器(TS250)即使在高頻時也可以驅動大電流流過亥姆霍茲線圈(LCR電路)。這種方法能夠使信號放大器驅動大電流通過高頻線圈,但它只能工作在諧振頻率附近很窄的頻率范圍。諧振技術的缺點是,當你改變頻率時你需要同時改變電容。

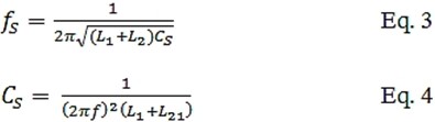
亥姆霍茲線圈的串聯諧振頻率用公式3給出。串聯電容CS可以用公式4進行計算。串聯電容上的電壓可以用上面的公式2進行計算。在高頻率和大電流時,電壓可能達數千伏。舉例來說,流過2mH高頻亥姆霍茲線圈的是200kHz、1A電流時,電容上的電壓為2512V!因此這個電容的額定值必須至少能達到這個電壓。
注意:潛在的電氣沖擊
上述大電流亥姆霍茲(電磁)線圈可以存儲足夠的能量因而變得具有電擊危險。確保所有電氣連接與高壓絕緣器件絕緣。導線必須具有上述的額定電壓等級。在連接或斷開線圈和電容之前永遠要記得關閉波形放大器輸出。
電流放大諧振法
比串聯諧振更加強大的另外一種諧振被稱為電流放大器諧振。這種新發明的諧振可以將亥姆霍茲線圈電流提升2倍。也就是說,線圈電流是源放大驅動器電流的2倍。因此這種諧振可以放大電流和磁場。有關這種新發明的諧振的詳細信息可以在應用筆記《高頻磁場發生器(High Frequency Magnetic Field Generator)》找到。

圖8:使用電流放大諧振方法可以使高頻亥姆霍茲線圈產生的磁場翻倍。
圖8顯示了使用電流放大諧振法的高頻亥姆霍茲線圈連線圖。這里需要兩個相同容量的電容。一個電容與線圈串聯,這與上述的串聯諧振相同。第二個諧振電容與兩個線圈并聯。這個并聯電容類似于上述高頻亥姆霍茲線圈電路模型中的寄生電容。
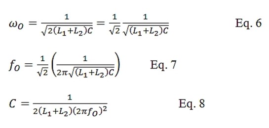
諧振頻率用公式6表示。兩個電容的容值可以用公式8進行計算。在諧振點,亥姆霍茲線圈阻抗是阻性的,4倍于線圈寄生電阻。當在電流放大的諧振中使用時最好設計低阻抗的線圈。另外要記住,由于趨膚效應的影響,磁性線圈的交流阻抗要比直流阻抗大。

本文小結
本文討論了驅動高頻亥姆霍茲線圈的三種方法。直接驅動方法最簡單,但一般用于低頻或低電感場合。使用串聯諧振方法驅動亥姆霍茲線圈可以產生大的電流和高頻磁場。創新的電流放大諧振法甚至可以在高頻時產生更強的磁場。
【推薦閱讀】
理解隔離器標準和認證以滿足安全性要求
高度集成的傳感器接口模擬前端簡化了傳感器調理
無位置傳感器無刷直流電機的換相方式研究
基于PWM模塊和CWG模塊的直流電機伺服系統設計
設計和選用電源模塊應考慮哪些性能參數





