- 功率MOSFET的各參數在開關過程中對開關損耗的影響
- 計算出MOSFET在開關過程中不同階段的開關損耗
- 在實際狀態下Coss對開通和關斷過程的影響
- 功率MOSFET管自然零電壓關斷的過程
- 重點檢查Qg和Ciss這兩個參數
1 MOSFET開關損耗
1.1 開通過程中MOSFET開關損耗
功率MOSFET管的柵極電荷特性如圖1所示,此特性圖可以在MOSFET數據表中查到,開通的工作過程可以參閱相關的文獻。值得注意的是:下面的開通過程對應著BUCK變換器上管的開通狀態,對于下管是0電壓開通,因此開關損耗很小,可以忽略不計。
開通過程中,從t0 時刻起,柵源極間電容開始充電,柵電壓開始上升,柵極電壓為:
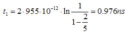
VGS電壓從0增加到開啟閾值電壓VTH前,漏極沒有電流流過,時間t1為:





注意到了米勒平臺后,漏極電流達到系統最大電流ID,就保持在電路決定的恒定最大值 ID,漏極電壓開始下降,MOSFET固有的轉移特性,使柵極電壓和和漏極電流保持比例的關系,漏極電流恒定,因此柵極電壓也保持恒定,這樣柵極電壓不變,柵源極間的電容不再流過電流,驅動的電流全部流過米勒電容。過了米勒平臺后,MOSFET完全導通,柵極電壓和漏極電流不再受轉移特性的約束,就繼續地增大,直到等于驅動電路的電源的電壓。
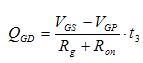
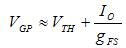
MOSFET開通損耗主要發生t2和t3時間段。下面以一個具體的實例下計算。輸入電壓12V,輸出電壓3.3V/6A,開關頻率350kHz,PWM柵極驅動器電壓為5V,導通電阻1.5Ohm,關斷的下拉電阻為0.5Ohm,所用的MOSFET為AO4468,具體參數如下:Ciss= 955pF,Coss= 145pF,Crss= 112pF,Rg= 0.5Ohm;當VGS= 4.5V,Qg= 9nC;當VGS=10V,Qg= 17nC,Qgd= 4.7nC,Qgs= 3.4nC;當VGS=5V且ID=11.6A,跨導gFS= 19S;當VDS=VGS且ID=250uA,,VTH= 2V;當VGS= 4.5V且ID=10A,RDS(ON)=17.4mOhm。
開通時米勒平臺電壓VGP:


開通過程中,Crss和米勒平臺時間t3成正比,計算可以得出米勒平臺所占開通損耗比例為84%,因此米勒電容Crss 及所對應的Qgd在MOSFET的開關損耗中起主導作用。Ciss =Crss+Cgs,Ciss所對應電荷為Qg。對于兩個不同的MOSFET,兩個不同的開關管,即使A管的Qg 和Ciss小于B管時,但如果A管的Crss比B管大得多時,A管的開關損耗卻有可能大于B管。因此在實際的選取MOSFET管,優先考慮米勒電容Crss的值。
減小驅動電阻可以同時降低t3和t2,從而降低開關損耗,但是過高的開關速度會引起EMI的問題。提高柵驅動電壓也可以降低t3時間。降低米勒電壓,也就是降低閾值開啟電壓,提高跨導,也可以降低t3時間從而降低開關損耗。但過低的閾值開啟會使MOSFET容易受到干擾誤導通,增大跨導將增加工藝復雜程度和成本。
[page]
1.2 關斷過程中MOSFET開關損耗
關斷的過程如圖1所示,分析和上面的過程相同,注意是就是此時要用PWM驅動器內部的下拉電阻0.5Ohm和Rg串聯計算,同時電流要用最大電流即峰值電流6.727A來計算關斷的米勒平臺電壓及相關的時間值:VGP= 2+6.727/19= 2.354V。

Crss一定時,Ciss越大,除了對開關損耗有一定的影響,還會影響開通和關斷的延時時間,開通延時為圖1中的t1和t2,圖2中的t8和t9。
2 Coss產生開關損耗與對開關過程的影響
2.1 Coss產生的開關損耗
通常,在MOSFET關斷的過程中,Coss充電,能量將儲存電容Coss中,Coss同時也影響MOSFET關斷過程中的電壓的上升率dVDS/dt,Coss越大,dVDS/dt就越小,這樣引起的EMI就越小。反之,Coss越小,dVDS/dt就越大,就越容易產生EMI的問題。
但是,在硬開關的過程中,Coss又不會能太大,因為Coss儲存的能量將在MOSFET開通的過程中,放電釋放能量,將產生更多的功耗降低系統的整體效率,同時在開通過程中,產生大的電流尖峰。
開通過程中大的電流尖峰產生大的電流應力,瞬態過程中有可能損壞MOSFET,同時還會產生電流干擾,帶來EMI的問題;另外,大的開通電流尖峰也會給峰值電流模式的PWM控制器帶來電流檢測的問題,需要更大的前沿消隱時間,防止電流誤檢測,從而降低了系統能夠工作的最小占空比值。
Coss產生的損耗為:

對于BUCK變換器,工作在連續模式時,開通時MOSFET的電壓為輸入電源電壓。當工作在斷續模式時,由于輸出電感以輸出電壓為中心振蕩,Coss電壓值為開通瞬態時MOSFET的兩端電壓值,如圖2所示。

1.2 Coss對開關過程的影響
圖1中VDS的電壓波形是基于理想狀態下,用工程簡化方式來分析的。由于Coss存在,實際的開關過程中的電壓和電流波形與圖1波形會有一些差異,所圖3所示。下面以關斷過程為例說明。基于理想狀態下,以工程簡化方式,認為VDS在t7時間段內線性地從最小值上升到輸入電壓,電流在t8時間段內線性地從最大值下降到0。
實際過程中,由于Coss影響,由于大部門電流從MOSFET中流過,流過Coss非常小,甚至可以忽略不計,因此Coss的充電速度非常慢,電流VDS上升的斜率也非常慢。也可以這樣理解:正是因為Coss的存在,在關斷的過程中,由于電容電壓不能突變,因此VDS的電壓一直維持在較低的電壓,可以認為是ZVS,即0電壓關斷,功率損耗很小。
同樣的,在開通的過程中,由于Coss的存在,電容電壓不能突變,因此VDS的電壓一直維持在較高的電壓,實際的功率損耗很大。
在理想狀態的工程簡化方式下,開通損耗和關斷損耗基本相同,見圖1中的陰影所示。而實際的狀態下,關斷損耗很小而開通損耗很大,見圖3中的陰影所示。


Coss越大或在DS極額外的并聯更大的電容,關斷時MOSFET越接近理想的ZVS,關斷功率損耗越小,那么更多能量通過Coss 轉移到開通損耗中。為了使MOSFET整個開關周期都工作于ZVS,必須利用外部的條件和電路特性,實現其在開通過程的ZVS。如同步BUCK電路下側續流管,由于其寄生的二極管或并聯的肖特基二極管先導通,然后續流的同步MOSFET才導通,因此同步MOSFET是0電壓導通ZVS,而其關斷是自然的0電壓關斷ZVS,因此同步MOSFET在整個開關周期是0電壓的開關ZVS,開關損耗非常小,幾乎可以忽略不計,所以同步MOSFET只有RDS(ON)所產生的導通損耗,選取時只需要考慮RDS(ON)而不需要考慮Crss的值。
注意到圖1是基于連續電流模式下所得到的波形,對于非連續模式,由于開通前的電流為0,所以,除了Coss放電產生的功耗外,沒有開關的損耗,即非連續模式下開通損耗為0。但在實際的檢測中,非連續模式下仍然可以看到VGS有米勒平臺,這主要是由于Coss的放電電流產生的。Coss放電快,持續的時間短,這樣電流迅速降低,由于VGS和ID的受轉移特性的約束,所以當電流突然降低時,VGS也會降低,VGS波形前沿的米勒平臺處產生一個下降的凹坑,并伴隨著振蕩。





