- 能量循環的電源節能的工作原理
- 能量循環的電源節能的系統實現
- 系統試驗過程與結果
- 保證穩定的電能轉換器的輸出電流
- 利用能量反饋形成能量循環系統
現代電子工業的發展促進了電源業的發展,任何電子設備都離不開各種精度的電源。電源轉換器能將各種電壓轉換為用戶需要的電壓,比如:電力變壓器能將輸送的千伏高壓交流電轉換為正常使用的市電;各種充電機、以及工業和通信用供電模塊,能將交流或直流電壓轉換為用戶要求直流或交流電壓,這種設備都是提供電能轉換的電源轉換器。相比較信號級的轉換器電能轉換器的功率要大得多,從幾瓦到幾十千瓦,他們的工作伴隨巨大的能量轉換。
在電源設備生產過程中,對電源設備進行例行測試老化是檢驗設備的必要環節,可以提高電源設備的可靠性,降低工廠的返工和擔保成本。但由于設備老化同時也增加了生產的電力消耗成本。通常情況下,設備的例行老化是讓設備接上模擬負載進行模擬工作,當然能量就消耗在模擬負載上,這種消耗通常沒有得到最佳的利用。本文根據電源轉換器是將電能轉換為不同等級電能的特點,提出通過能量反饋實現大部分能量的循環利用,從而實現節能的目的。如何節能,減少能源消耗是人們一直追求的目標,在建設節約型社會的今天,節能降耗的意義更顯重要。
工作原理
電源轉換器能將電能加工為需要的電能,它的例行老化使用只要在電源轉換器的輸出端連接合適的電阻負載或等效阻抗的用電設備讓其保證一定的負荷工作即可。如圖1所示:輸入電壓Vin被電源轉換器轉換為Vout加在電阻負載上,在例行工作時,電源轉換器消耗功率(未計算轉換過程損耗)為Po="Vout2"/R1。

圖1轉換器工作示意圖
[page]
這種情況下,電能消耗沒有得到任何利用,就直接轉化為熱能從電阻負載上散發出去,是對電能的一種嚴重浪費。
要實現節能循環利用,主要考慮將消耗在電阻負載上的能量更加合理的利用。如果能將輸出電壓Vout再還原為輸入電壓Vin,則輸出電能轉換為輸入的電能,便可以實現電能的循環利用,如圖2所示:將原有轉換器的電阻負載R1用等效輸入阻抗的轉換器2取代,轉換器2的輸出接轉換器1的輸入。則與R1等效輸入阻抗的轉換器2從轉換器1輸出端消耗的能量被轉換到轉換器1的輸入端,再經轉換器1又到轉換器2的輸入端,實現了能量的循環利用。如果在理想情況下,沒有轉換損耗,則系統可以自循環工作。當然這是無法實現的,所以在能量分析時,要引入轉換過程的消耗。

圖2轉換器能量循環示意圖
對以上兩種工作模式下的能量消耗做如下分析:
第一種工作模式是在沒有能量循環的情況下,Pi為轉換器的輸入能量,Pw為電源轉換器轉換過程中的消耗能量,Po為轉換器消耗在電阻負載上的輸出能量。假定轉換器的轉換效率為80%時,于是可設轉換器在轉換過程消耗的能量為Pw=25%Po,則整體總能量消耗也就是轉換器的輸入能量Pi=Po+Pw=1.25Po。
第二種工作模式是引入能量反饋的情況下,能量轉換如圖3所示:轉換器1為需要例行使用的電源轉換器,轉換器2為用于能量反饋的轉換器,Pi為系統外給轉換器1的輸入能量,Pw為轉換器1轉換過程中的消耗能量,Po為例行使用電源轉換器1正常應輸出的能量,同時也是轉換器2的輸入能量;Pwf為用于能量反饋的轉換器2轉換過程中的消耗能量,Pf為轉換器2反饋給電源轉換器1的能量。

圖3有反饋模式的能量轉換圖
假設電源轉換器1和轉換器2的轉換效率都為80%,則轉換器1轉換過程消耗能量同模式1為:Pw=25%Po,由轉換器的轉換效率得轉換器2轉換過程的消耗能量:Pwf=20%Po,根據能量守衡定律,則整體總消耗能量:Pi=Pw+Pwf=25%Po+20%Po=45%Po。
從以上兩種模式情況下,能量消耗分析可以得出結論,采用具有能量反饋的工作模式進行例行老化使用時,所消耗的能量只要工作能量的0.45,相比較沒有能量反饋的例行老化使用,總消耗能量為工作能量的1.25倍.因此具有能量反饋的例行老化使用模式節約能源。
[page]
系統實現
從以上兩種工作模式分析所得,可以利用能量反饋形成能量循環系統,減少能量消耗,系統工作可由圖4示意,包括三個部分:

圖4能量反饋系統實現示意圖
a)電源部分,為系統提供外在激勵源;
b)轉換器部分為需要例行老化的電源設備,將輸入電源電壓轉換為需要輸出電壓;
c)能量反饋部分可將轉換器的輸出電壓轉換為轉換器的輸入電壓。
能量反饋部分和需要例行試用的轉換器組成一個能量循環系統,在外電源的激勵下,系統保持額定功率運轉。由功率公式P=U*I,U由例行老化的電源轉換器穩定,要保證該額定功率,就是保證輸出電流I,即能量反饋部分設計成恒流電路,所以系統在額定功率下,保證能量循環穩定工作的等效控制量為需要例行使用的電能轉換器的輸出電流。
在能量反饋部分就要能實現上述要求,保證穩定的電能轉換器的輸出電流,采用電流傳感器檢測電能轉換器的輸出電流,同時反饋部分采用反饋電壓與輸出控制電流之間成反比系數關系即Uf∝K/Io,為便于分析,設電源電壓Ui為穩定值。當輸出電流較小時,通過調節反饋電壓,使其變大,則反饋電壓與輸入的電壓差△U=Uf-Ui變大,相應的由反饋電壓流向輸入電壓的電流加大,造成相應的反饋功率加大;當輸出電流較大時,通過調節反饋電壓,使Uf變小,則反饋電壓與輸入的電壓差△U變小,相應的由反饋電壓流向輸入電壓的電流減小,造成循環的功率減小;整個過程維持負反饋控制,最終達到動態平衡,維持設定的額定功率。
反饋設計
從以上能量反饋系統工作分析可知,能量反饋部分為系統穩定工作提供必要的保證,能量反饋部分組成可由圖5所示,主要包括:輸入部分、功率轉換部分、輸出部分、采樣、基準、比較器和控制器七個組成部分。

圖5能量反饋組成框圖
[page]
a)輸入部分是對輸入電能必要的濾波處理同時為控制器部分電路提供輔助工作電源;
b)功率轉換部分作用主要是在控制器的控制下,將輸入電能轉換為需要的電能;
c)輸出濾波部分主要作用是對功率轉換部分輸出電能進行必要的濾波;
d)采樣部分主要是對輸出電能采樣提供與輸出呈線性關系的采樣信號;
e)基準部分提供與采用比較的穩定參考值;
f)比較器將采樣信號與基準信號比較,產生兩者的誤差信號;
g)控制器部分作用是根據比較器提供的誤差信號,給出對功率轉換部分的控制信號。
對于功率轉換部分的電路拓撲可根據功率大小以及轉換電壓,選定如buck型或boost型以及由此引申的各種電路形式。控制器可選用專門的控制芯片或通用的處理芯片實現上述要求的控制。
試驗過程與結果
根據上述反饋部分的設計要求,采用一種轉換電壓從48V到200V功率為180W的直流變換器為需要例行老化的轉換器1,用于能量反饋的轉換器2電路主要包括兩大主要部分:分為功率轉換部分和控制器部分。在功率轉換部分的采用推挽轉換方式電路和全橋整流電路。控制器采用UNITRODE公司的固定頻率,電流模式的PWM控制芯片3846,其內部電路圖由振蕩器、誤差放大器、基準源、鎖存器、圖騰輸出等組成。其主要特點是:逐周波電流限制、支持緩啟動、差分電流檢測放大、高達500的工作頻率、500的峰值圖騰輸出以及欠壓鎖定等功能,比較便于外圍功能設定。按照上述的系統設計,依據例行老化。

圖6試驗結果對比圖
轉換器1的輸出功率,測試系統相應的消耗功率,同時對比沒有電能反饋模式下的消耗功率,所得的對比結果如圖6所示,由圖可知,在通常工作模式情況下,消耗功率大于輸出功率,同時隨著輸出功率增大迅速上升;對于有能量反饋的模式,系統消耗功率小于工作循環功率,在輸出功率為100W前,曲線的增長率較大,在輸出功率大于100W后,曲線增長率較小且有一定的收斂趨勢。
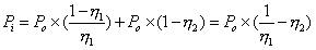
結果分析:在通常工作模式情況下,曲線的波動是由于電能轉換器的轉換效率影響造成的,由前面原理分析可知消耗功率為Pi=Po+Pw,如果轉換效率為,則Pi=Po/η,轉換效率η通常隨著輸出功率的變化有一定的波動,所以曲線的波動符合理論分析;在有反饋的工作模式情況下,由前面原理分析部分得系統的消耗功率為Pi=Pw+Pwf,分別設轉換器1的轉換效率為η1,反饋部分的轉換效率為η2,則系統的消耗功率為:
由于η1和η2隨著功率的加大都會有所提高,所以系數1/η1-η2會有一定的收斂,相應的功率消耗有一定的收斂符合理論分析。
基于能量循環的老化節能實現方法具有明顯的節能效果,能大幅度降低電源老化過程的電能消耗,從本質上解決電源老化設備大能耗問題。有利于降低生產企業的生產成本,提高企業生產現代化水平,為國家節能降耗做出貢獻。





