【導讀】殘余相位噪聲測量法消除了外部噪聲源(例如電源或輸入時鐘)的影響,而絕對相位噪聲測量法包含了這些來源的噪聲。殘余相位噪聲裝置可以隔離并測量器件的相加相位噪聲。利用此信息,設計師可在信號鏈中選擇各個器件,以滿足整個系統的相位噪聲要求。本文包含了定時器件的相位噪聲圖,以突出殘余相位噪聲裝置的屬性。此外,它還說明了如何使用相加相位噪聲來識別信號鏈中的噪聲問題來源。
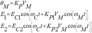
圖 1 顯示了用于測量待測器件 (DUT) 的相加相位噪聲的裝置。請注意,使用了兩個 DUT;每個 DUT 均連接到公用電源和輸入時鐘。這些公用噪聲源產生的相位噪聲在每個 DUT 輸出處相關聯。通過簡單地將相位檢測器建模成為一個具有與增益 KPD 的模擬乘法器,可以得出輸出相位噪聲:

其中 E1 是經過放大的 DUT1 輸出信號,E2 是經過放大和延遲的 DUT2 輸出信號,EC1 和 EC2 是信號功率,θM1 和 θM2 是相位噪聲的幅值,ωC 是載波頻率,ωM 是偏置頻率。應用疊加,因此當考慮來自外部源的相位噪聲時,DUT 固有的相位噪聲可以忽略不計。如果 DUT1 和 DUT2 具有相同的超量相位傳遞功能,則由時鐘源和電源產生的 θM1 部分等于由公用時鐘源和電源產生的 θM2 部分。這種現象稱為電源牽引,可以簡單地通過以下方程式描述:

這樣,相位調制的幅度可由電源上的電壓噪聲與 KP 的乘積 - 電源牽引增益(弧度/V)得出。如果 DUT1 和 DUT2 具有等效的電源牽引增益,則理論上可以取消相位檢測器輸出處的這些噪聲源,從而只留下兩個 DUT 的無關噪聲以進行測量。
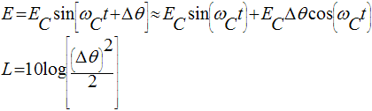
內在的 DUT 噪聲可以通過一些額外的假設進行確定。由于器件噪聲產生的 rms 相位誤差一般極小,因此我們可以使用小角度近似值將輸出載波的表達式改為:

相位檢測器的輸出已解調,因此可以稱為“基帶信號”。一旦確定相位檢測器增益和輸入信號功率,即可計算出實際的相位噪聲(假設放大器產生的相位噪聲可以忽略不計)。每個 DUT 固有的噪聲是不相關的,所以它們產生的噪聲是相同的,并且 rms 總和為測得的輸出相位噪聲。為此,我們從頻譜分析儀測得的相位噪聲(單位:dBc/Hz)中減去 3 dB 以確定每個 DUT 產生的噪聲。這表示相對于信號功率的相位噪聲功率:

當進行非常敏感的相位噪聲測量時,放大器產生的噪聲可能是顯著的。放大器的殘余相位噪聲通過以下方法測量:從電路中拆除 DUT1 和 DUT2,然后對放大器直接應用功率分配器輸出。放大器輸入信號功率必須在幅度和壓擺率方面與實際的 DUT 輸出信號相似。使用上述步驟,通過從測得的 DUT 相位噪聲中減去測得的放大器相位噪聲,即可得到精確的 DUT 相位噪聲。同樣,關鍵是要確保放大器的增益和噪聲指數彼此盡可能接近。
請注意,需要時鐘輸入信號的 DUT 將安裝一個具有一定噪聲的前端放大器。因此,由于放大器輸入處的閾值不確定性,具有低壓擺率的時鐘源可能會無意中增加 DUT 產生的相位噪聲。當使用正弦時鐘源時,請使用最大允許的幅值來最大化壓擺率。

圖 1. 殘余相位噪聲測量裝置。
測試裝置的基本細節
使用圖 1 中所示的測試裝置,兩個具有相同零件號的 DUT 由單個 1 GHz 時鐘源定時。器件被設置為將時鐘頻率除以四以產生 250 MHz 的輸出。此外,兩個輸出信號進行相對的相位移動 90°(正交)以最小化出現在直流處的下轉換信號電平。DUT 信號由低噪聲放大器(LNA)放大,以增加測量系統的動態范圍(放大器產生的相位噪聲可以小到忽略不計)。放大器輸出被發送到均衡混頻器(相位檢測器)。相位檢測器將兩個信號混合,在其輸出處產生和積及差積。和積由低通濾波器濾除。剩余的差積構成下轉換為直流(相位噪聲)的 250 MHz 輸出信號。LNA 提供足夠的增益以克服頻譜分析儀的本底噪聲限制。
公用時鐘源相位噪聲的消除
圖 2 顯示了兩個時鐘源(具有極其不同的相位噪聲特性)的絕對相位噪聲測量。從理論上講,任一時鐘源均不會影響由殘余相位噪聲裝置測得的 DUT 相加相位噪聲。圖 3 確認了這一理論。它繪制了兩個單獨的殘余相位噪聲測量,每個時鐘源有一個軌跡曲線。兩個軌跡曲線幾乎重疊,證明了公用時鐘源噪聲已由殘余相位噪聲裝置消除。在絕對相位噪聲裝置中,此噪聲將不會消除。事實上,如果 DUT 是理想的(無相加相位噪聲),則其絕對相位噪聲曲線將與圖 2 中的曲線相匹配(但由于四分之一 的頻率轉換,它會低 12 dB)。時鐘源 2 在正?;?250-MHz 載波后,展現出 –92 dBc/Hz 的相位噪聲(1 kHz 偏置時),而測得的與時鐘源 2 相關的 DUT 相位噪聲為 –135 dBc/Hz(1 kHz 時)。因此,殘余相位測量抑制了大約 40 dB 的輸入時鐘相位噪聲。

圖 2. 兩個不同時鐘源的絕對相位噪聲測量值。

圖 3. 時鐘源幾乎對殘余相位噪聲測量值無影響。
公用電源噪聲的消除
圖 3 中使用了與圖 1 相同的公用電源連接。圖 4 顯示了為每個 DUT 使用單獨噪聲電源的影響。不相關的電源噪聲會導致近載波相位噪聲大幅增加。

圖 4. 殘余相位噪聲測量顯示公用和單獨電源的影響。
圖 5 顯示了使用低噪聲電源時的絕對相位噪聲測量。具有低噪聲電源的絕對相位噪聲與具有單獨低噪聲電源的殘余相位噪聲展現出了良好的一致性。已在殘余相位噪聲測量中消除了電源相位噪聲,但在絕對相位噪聲測量中并沒有消除電源相位噪聲。

圖 5. 近載波相位噪聲因低噪聲電源而得到了改善
殘余相位噪聲測量法是一個非常有用的技術,它用于識別作為系統設計一部分的單個元件所產生的相位噪聲。使用這種方法,外部噪聲源(例如輸入時鐘和電源)在每個 DUT 的輸出處相關聯,因此可以有效地消除。此外,它還可能說明 DUT 殘余噪聲測量中使用的緩沖器或放大器所產生的相位噪聲,方法是對這些元件進行附加的殘余相位噪聲測量。組合使用殘余和絕對相位噪聲測量法是識別系統設計中主要噪聲源的一個非常有效的方法。在分頻器上獲得的測量數據展示了殘余相位噪聲測量法的概念和效用,并且量化了噪聲輸入時鐘和電源的影響。借助這一評估方法,系統設計師可以根據實際的測量數據得出輸入時鐘源和電源的規格。
推薦閱讀:





