- 探究電容電感測試儀的設計
- 分析振蕩電路原理
- 分析分頻電路原理
- 振蕩電路采用LC振蕩電路
- 分頻電路采用74LS393數字分頻芯片
1 測量原理
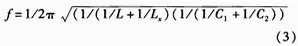
采用LC振蕩器的振蕩原理,LC振蕩器選擇L或是C參數為固定值。通過LC的組合,振蕩器起振,當測量電容時電感固定,測量電感時電容固定。通過LC振蕩器的頻率計算公式
其中,
2 電路工作原理
2.1 電路框圖設計
如圖1所示。框圖包括輸入切換部分、振蕩部分、分頻部分、單片機部分、顯示部分和鍵盤部分。此系統由STC89C51單片機作為控制核心,輸入切換部分采用雙刀雙擲繼電器完成待測電容或電感的線路切換,振蕩電路工作在放大諧振狀態,頻率有高頻管9018的集電極輸出,由于頻率較高,所以需經過信號分頻,再者由于輸出的電壓幅度大,此處無需再加一級驅動,以74LS393數字分頻芯片,把分頻端級聯實現100分頻,最終信號進入單片機,由單片機計算出頻率,經過算法設計,實現未知電容或電感參數的測定。圖1給出了系統的總體框架圖。

輸入切換電路使用雙刀雙擲繼電器實現,主要負責電容和電感的輸入切換,當連接上電容時系統通過繼電器K2,如圖2所示。連接單片機,K2 的固定端直接連接單片機的引腳IO3和IO4,常開節點連接待測電容或電感的引腳兩端,并且初始設置兩個引腳一個為邏輯高電平5 V,一個為邏輯低電平0 V,當給K2通電,固定端和常閉端連接,由于IO3和IO4分別為5 V和0 V。電容對直流是開路,所以IO3和IO4電平維持原來的狀態。若為電感,由于電感對直流相當于導線,那么5 V的IO會被0 V的拉低。兩個IO都為0 V。由此得出沒有短路在一起時,單片機判斷為電容,從而選擇測量電容的方法,此時通過單片機對IO1腳的設置把另一個雙刀雙擲開關K1,開關撥到上,上為與電容C2并聯,如圖2所示。而短路在一起時,單片機判斷為電感,單片機選擇測量電感的方法,此時通過單片機對IO1腳的設置把另一個雙刀雙擲開關K1開關撥到下,即與電感L并聯。

2.3 振蕩電路原理
振蕩電路采用LC振蕩電路,振蕩的頻率由L和C確定。振蕩管采用9018,Rb1和Rb2為基極偏置,Rc為限流電阻,電容C1、C2和電感L構成正反饋選頻網絡,反饋信號取自電容C2兩端。該電路也稱為電容3點式振蕩電路。輸入信號和反饋信號同相。在測量過程中,當測量電感時,輸入電路自動把待測電感Lx并聯到L的兩端。當測量電容時,輸入電路自動把要測量的電容Cx并聯到C1的兩端。
2.4 分頻電路原理
分頻電路采用74LS393數字分頻芯片,分頻端級聯實現100分頻,高頻管9018的集電極輸出振蕩信號,之后把振蕩器輸出的信號100分頻,頻率將降到單片機測量的范圍之內。
2.5 單片機實現電容和電感的計算
當把待測的電容或電感接入時,系統自動進行判斷,根據判斷結果確定算法。當判斷到是電容時,系統計入電容的計算方式,電容的計算方式采用公式
3 算法設計
系統上電初始化并且清屏,單片機初始化完成后,進入鍵盤掃描程序,當要進行電容或電感測量時,選擇測量按鍵,系統進行自動判斷并進行電容或電感的測量。當判斷為電容時,系統選擇電容的計算方法。當判斷為電感時,系統選擇電感的計算方法。計算完成后在液晶屏上顯示測量結果。下面是具體的程序流程圖,如圖3所示。




