【導讀】對于電源設計工程師而言,熟練掌握計算公式是必不可少的,在電源圈中流傳著這么一句話,世界上最遙遠的距離不是語言差異無法溝通,而是公式擺在面前卻不會運用。因此,小編為大家盤點了在電源設計中最常用的一些計算公式并進行講解,希望對大家有所幫助。
MOSFET開關管工作的最大占空比Dmax:

式中:Vor為副邊折射到原邊的反射電壓,當輸入為AC220V時反射電壓為135V;VminDC為整流后的最低直流電壓;VDS為MOSFET功率管導通時D與S極間電壓,一般取10V。
變壓器原邊繞組電流峰值IPK為:

式中:η為變壓器的轉換效率;Po為輸出額定功率,單位為W。
變壓器原邊電感量LP:

式中:Ts為開關管的周期(s);LP單位為H。
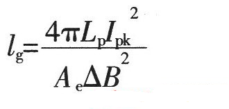
變壓器的氣隙lg:

式中:Ae為磁芯的有效截面積(cm2);△B為磁芯工作磁感應強度變化值(T);Lp單位取H,IPK單位取A,lg單位為mm。
[page]
變壓器磁芯:
反激式變換器功率通常較小,一般選用鐵氧體磁芯作為變壓器磁芯,其功率容量AP為

式中:AQ為磁芯窗口面積,單位為cm2;Ae為磁芯的有效截面積,單位為cm2;Po是變壓器的標稱輸出功率,單位為W;fs為開關管的開關頻率;Bm為磁芯最大磁感應強度,單位為T;δ為線圈導線的電流密度,通常取200~300A/cm2,η是變壓器的轉換效率;Km為窗口填充系數,一般為0.2~0.4;KC為磁芯的填充系數,對于鐵氧體為1.0。
根據求得的AP值選擇余量稍大的磁芯,一般盡量選擇窗口長寬之比較大的磁芯,這樣磁芯的窗口有效使用系數較高,同時可以減少漏感。
變壓器原邊匝數NP:

式中:△B為磁芯工作磁感應強度變化值(T),Ae單位為cm2,Ts單位為s。
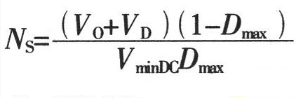
變壓器副邊匝數Ns:

式中:VD為變壓器二次側整流二極管導通的正向壓降。
功率開關管的選擇:
開關管的最小電壓應力UDS:

一般選擇DS間擊穿電壓應比式(9)計算值稍大的MOSFET功率管。
[page]
繞組電阻值R:

式中:MUT為平均每匝導線長度(cm);N為導線匝數;
為20℃時導線每cm的電阻值(μΩ)。
繞組銅耗PCU為:
原、副邊繞組電阻值可通過求繞組電阻值R的公式求出,當求原邊繞組銅耗時,電流用原邊峰值電流IPK來計算;求副邊繞組銅耗時,電流用輸出電流Io來計算。

磁芯損耗:
磁芯損耗取決于工作頻率、工作磁感應強度、電路工作狀態和所選用的磁芯材料的性能。對于雙極性開關變壓器,磁芯損耗PC:

式中:Pb為在工作頻率、工作磁感應強度下單位質量的磁芯損耗(W/kg);Gc為磁芯質量(Kg)。
對于單極性開關變壓器,由于磁芯工作于磁滯回線的半區,所以磁芯損耗約為雙極性開關變壓器的一半。變壓器總損耗為總銅耗與磁芯損耗之和。
相關閱讀:
開關電源電路的過渡過程——陶顯芳老師談開關電源原理與設計
http://aolaiaolisita.com/power-art/80021728
工程師詳解:一款DC/DC隔離式反激開關電源設計及參數計算
http://aolaiaolisita.com/power-art/80021730
工程師分享:一款節能型交流穩壓電源設計
http://aolaiaolisita.com/power-art/80021719




