單激式變壓器開關電源
變壓器開關電源的最大優點是,變壓器可以同時輸出多組不同數值的電壓,改變輸出電壓和輸出電流很容易,只需改變變壓器的匝數比和漆包線截面積的大小即可;另外,變壓器初、次級互相隔離,不需共用同一個地。因此,變壓器開關電源也有人把它稱為離線式開關電源。這里的離線并不是不需要輸入電源,而是輸入電源與輸出電源之間沒有導線連接,完全是通過磁場偶合傳輸能量。
變壓器開關電源采用變壓器把輸入輸出進行電器隔離的最大好處是,提高設備的絕緣強度,降低安全風險,同時還可以減輕EMI干擾,并且還容易進行功率匹配。
變壓器開關電源有單激式變壓器開關電源和雙激式變壓器開關電源之分,單激式變壓器開關電源普遍應用于小功率電子設備之中,因此,單激式變壓器開關電源應用非常廣泛。而雙激式變壓器開關電源一般用于功率較大的電子設備之中,并且電路一般也要復雜一些。
單激式變壓器開關電源的缺點是變壓器的體積比雙激式變壓器開關電源的激式變壓器的體積大,因為單激式開關電源的變壓器的磁芯只工作在磁回路曲線的單端,磁回路曲線變化的面積很小。
單激式變壓器開關電源的工作原理

圖1-16-a是單激式變壓器開關電源的最簡單工作原理圖。圖1-16-a中,Ui是開關電源的輸入電壓,T是開關變壓器,K是控制開關,R是負載電阻。
當控制開關K接通的時候,直流輸入電壓Ui首先對變壓器T的初級線圈N1繞組供電,電流在變壓器初級線圈N1繞組的兩端會產生自感電動勢e1;同時,通過互感M的作用,在變壓器次級線圈N2繞組的兩端也會產生感應電動勢e2;當控制開關K由接通狀態突然轉為關斷狀態的時候,電流在變壓器初級線圈N1繞組中存儲的能量(磁能)也會產生反電動勢e1;同時,通過互感M的作用,在變壓器次級線圈N2繞組中也會產生感應電動勢e2。
所謂單激式變壓器開關電源,是指開關電源在一個工作周期之內,變壓器的初級線圈只被直流電壓激勵一次。一般單激式變壓器開關電源在一個工作周期之內,只有半個周期向負載提供功率(或電壓)輸出。當變壓器的初級線圈正好被直流電壓激勵時,變壓器的次級線圈也正好向負載提供功率輸出,這種變壓器開關電源稱為正激式開關電源;當變壓器的初級線圈正好被直流電壓激勵時,變壓器的次級線圈沒有向負載提供功率輸出,而僅在變壓器初級線圈的激勵電壓被關斷后才向負載提供功率輸出,這種變壓器開關電源稱為反激式開關電源。
[page]
圖1-16-b是單激式變壓器開關電源輸出電壓的波形,由于輸出電壓是由變壓器的次級輸出,因此,在輸出電壓uo中完全沒有直流成份。輸出電壓正半波的面積與負半波的面積完全相等,這是單激式變壓器開關電源輸出電壓波形的特點。在圖1-16-b中,當只輸出正半波電壓時,為正激式開關電源;反之,當只輸出負半波電壓時,為反激式開關電源。
這里需要特別指出:圖1-16-b中變壓器輸出電壓波形極性的正負,是可以通過調整變壓器線圈的饒線方向(相位)來改變的。嚴格地說,只有當控制開關的占空比等于0.5時,開關電源的輸出電壓才能稱為正、負半周電壓,但由于人們已習慣了正、負半周的叫法,所以,只要是有正、負電壓輸出的交流電源,我們還是習慣地把交流輸出電壓稱為正、負半周。但為了與占空比不等于0.5時的電壓波形相區別,我們有時特別把占空比不等于0.5時的交流電壓波形稱為正、負半波。因此,有些場合在不影響對正、負半波電壓的理解時,或占空比不確定時,我們也習慣地把正、負半波稱為正、負半周。
圖1-16-a中,在Ton期間,控制開關K接通,輸入電源Ui開始對變壓器初級線圈N1繞組加電,電流從變壓器初級線圈N1繞組的兩端經過,通過電磁感應會在變壓器的鐵芯中產生磁場,并產生磁力線;同時,在初級線圈N1繞組的兩端要產生自感電動勢e1,在次級線圈N2繞組的兩端也會產生感應電動勢e2;感應電動勢e2作用于負載R的兩端,在負載中就有電流流過。因此,在初、次級電流的共同作用下,在變壓器的鐵芯中會產生一個由流過變壓器初、次級線圈電流共同產生的合成磁場,這個磁場的大小可用磁力線通量(簡稱磁通量),即磁力線的數目 來表示。
如果用
1來表示變壓器初級線圈電流產生的磁通量,用
2來表示變壓器次級線圈電流產生的磁通量,由于變壓器初、次級線圈電流產生的磁場方向總是相反,則在控制開關K接通期間,流過變壓器初、次級線圈電流在變壓器鐵芯中產生的合成磁場的總磁通量
為:

其中,變壓器初級線圈電流產生的磁通
1還可以分成兩個部分,一部分用來抵消變壓器次級線圈電流產生的磁通
2,記為
10,另一部分是由勵磁電流產生的磁通,記為Δ
1。顯然
10 =-
2,Δ
1 =
。即:在變壓器鐵芯中產生的磁通量
,只與流過變壓器初級線圈中的勵磁電流有關,而與流過變壓器次級線圈中的電流無關;流過變壓器次級線圈中的電流產生的磁通,完全被流過變壓器初級線圈中的另一部分電流產生的磁通抵消。
根據電磁感應定律可以對變壓器初級線圈N1繞組回路列出方程:

同樣,可以對變壓器次級線圈N2繞組回路列出方程:

根據(1-62)和(1-63)可以求得單激式變壓器開關電源正激輸出電壓為:

(1-64)式是單激式變壓器開關電源正激輸出電壓的表達式。式中,uo為單激式變壓器開關電源的輸出電壓,
為單激式變壓器開關電源輸出電壓uo的正激輸出電壓,小括弧右上角的“+”號表示小括弧中的內容為正激電壓。
為單激式變壓器開關電源正激輸出電壓的幅值,其值等于UP(圖1-16-b中正半周的峰值);Ui為正激式開關變壓器初級線圈N1繞組的輸入電壓;n為變壓比,即:開關變壓器次級線圈輸出電壓與初級線圈輸入電壓之比;當變壓器的初、次級線圈耦合系數等于1時,n也可以看成是開關變壓器次級線圈N2繞組與初級線圈N1繞組的匝數比N,即:n =N= N2/N1。
由此可知,在控制開關K接通期間,正激式開關變壓器次級輸出電壓的幅值只與輸入電壓和變壓器的次/初級變壓比有關。
[page]
我們再來分析控制開關K關斷期間的情況。
在控制開關K關斷的Toff期間,變壓器鐵芯中的磁通 主要由變壓器次級線圈回路中的電流i2來決定,即:

式中負號表示反電動勢e2的極性與(1-63)式中的符號相反,即:K接通與關斷前后,變壓器次級線圈N2產生感應電動勢的極性正好相反。對(1-65)式階微分方程求解得:

式中,C為待定常數,把初始條件代入上式,就很容易求出C。由于控制開關K由接通狀態突然轉為關斷瞬間,變壓器初級線圈回路中的電流突然為0,而變壓器鐵心中的磁通量 不能突變,因此,必須要求流過變壓器次級線圈回路的電流也跟著突變,以抵消變壓器初級線圈電流突變的影響,要么,在變壓器初、次級線圈回路中將出現無限高的反電動勢電壓,并在次級線圈回路中產生無限大的電流,這是不可能的。
由此可知,在控制開關K關斷后的瞬間,變壓器次級線圈回路中的電流i2一定正好等于控制開關K關斷前瞬間的電流i2(Toff-),與變壓器初級線圈回路中的電流i1(Toff-)被折算到變壓器次級線圈回路電流之和。
在控制開關K關斷前的瞬間,流過變壓器初級線圈回路中的電流i1(Toff-)可分成兩個部分:一個部分為與變壓器次級線圈回路電流i2大小有關的電流i10(Toff-);另一部分為勵磁電流Δi1(Toff-) ,這個電流與變壓器次級線圈回路的電流i2大小無關 。
在控制開關K關斷前的瞬間,由于i10(Toff-)產生的磁通與i2(Toff-)產生的磁通可以互相抵消,因此,在控制開關K關斷后的瞬間,在變壓器次級線圈回路中對磁通起作用的,僅有初級線圈勵磁電流Δi1(Toff-)被折算到變壓器次級線圈回路電流Δi12(Toff-)。
根據上面分析以及勵磁電流的計算公式(1-45),(1-66)式可以寫為:

(1-67)式中,負號表示K關斷后流過變壓器次級線圈的電流方向正好相反。
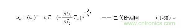
根據(2-67)式,圖1-16-a單激式變壓器開關電源反激輸出電壓為:

(1-68)式是單激式變壓器開關電源反激輸出電壓的表達式。式中, 為單激式變壓器開關電源輸出電壓uo的反激輸出電壓,小括弧右上角的“-”號表示小括弧中的內容為反激電壓。
由(1-68)式可以看出,當t = 0時,即:K關斷瞬間,單激式變壓器開關電源輸出電壓uo有最大值:

(1-69)式中的
為反激式輸出電壓的峰值,其值等于UP-(圖1-16-b中負半周的峰值)。在理論上,需要時間t等于無限大時,變壓器次級線圈回路輸出電壓才為0,但這種情況一般不會發生,因為控制開關K的關斷時間等不了那么長。
[page]
由(1-69)式可知,在控制開關K關斷瞬間,當變壓器次級線圈回路負載開路時、或變壓器初、次級線圈的漏感很大時,變壓器次級線圈回路會產生非常高的反電動勢,如果此電動勢直接加到開關器件兩端,將很容易把開關器件擊穿。為了防止開關器件擊穿,一般都必須要在變壓器初級線圈回路中加尖峰電壓吸收電路(RCD吸收電路)。關于RCD吸收電路的工作原理與設計,請參考后面《開關電源RCD吸收電路參數的選擇與計算》等內容。
從(1-64)和(1-68)式可以看出,開關變壓器的工作原理與普通變壓器的工作原理是不一樣的。當開關電源工作于正激時,開關變壓器的工作原理與普通變壓器的工作原理基本相同;但當開關電源工作于反激式輸出電壓時,開關變壓器的工作原理相當于一個儲能電感。
如果我們把輸出電壓uo的正、負半波分別用半波平均值Upa、Upa-來表示,則有:

根據電磁感應定律可以對變壓器次級線圈N2繞組回路列出方程:

根據能量守恒定理,單激式變壓器開關電源輸出電壓正半波的面積與負半波的面積應該完全相等,即:

(1-76)式就是計算單激式變壓器開關電源輸出電壓的表達式。式中,Upa和Upa-分別稱為單激式變壓器開關電源輸出電壓的正半波平均值和負半波平均值。
在上面(1-70)、(1-71)、(1-72)、(1-73)、(1-74)、(1-75)、(1-76)式中,我們分別把Upa和Upa-定義為正半波平均值和負半波平均值,簡稱半波平均值;而把Ua和Ua-分別稱為輸出電壓的正向平均值和負向平均值,統稱單向平均值。從圖1-16-b可以看出,Upa正好等于Up(或等于
),但Upa-并不等于Up- ,Upa-小于Up- 。
從上面計算可以看出,引進半波平均值的概念后,利用半波平均值計算非正弦波電壓,可使電路分析與計算變得非常簡單。半波平均值的概念很重要,后面章節會經常用到,如計算開關電源輸出電壓及占空比以及變壓器線圈匝數比,都涉及到半波平均值的概念。
[page]
我們知道,對復雜電路進行分析一般都有兩種基本方法,一種是傅立葉變換分析方法,另一種是拉普拉斯變換分析方法。傅氏變換屬于頻域范疇,而拉氏變換屬于時域范疇,兩種分析方法得出的結果形式是不一樣的。
傅氏變換是把一個非正弦波看成是由非常多個不同頻率(變化率)的正弦波迭加組成,然后讓不同頻率的正弦波,一個一個地通過網絡,并對其輸出結果一個一個地進行分析;而拉氏變換則是讓一個單位方波(幅度趨于無限高,寬度趨于0,幅度與寬度的乘積等于1)通過網絡,然后對其輸出結果進行分析。
例如,用一個正弦波作用于一個電感,流過電感的電流也是正弦波,電感在電路中的作用相當于一個阻抗器;如果用一個方波作用于一個電感,則流過電感的電流是個鋸齒波,這里就不能簡單地把電感看成是一個阻抗器,它要比一個阻抗器復雜得多,它既有阻抗的功能(阻抗隨著時間變化),也有儲能的功能。這兩種分析方法得出的結果不可能完全一樣,但這兩種分析結果都很容易令人理解的。
更簡單地說,采用時域的分析方法,就等于用示波器來觀看電壓波形,而采用頻域的分析方法,就等于用頻譜儀來觀看非正弦波的頻譜。顯然,用示波器來觀看電壓波形要比用頻譜儀來觀看非正弦波的頻譜直觀很多。
引進半波平均值的概念從理論上來說,就是基于拉氏變換的時域分析方法。在開關電源電路中,采用時域分析方法要比采用頻域分析方法方便很多,并且也直觀很多。因此,正確理解它們的數學意義和物理意義,對于我們分析開關電源的工作原理非常重要。半波平均值的定義還可以理解為數學中的幾何平均值,即:先對某函數曲線f(t)在t0~t1的區間進行積分,然后把積分結果除以τ,τ為脈沖寬度(τ = t1-t0)。顯然,半波平均值的定義,就是把一個不規則的脈沖波形等效成一個矩形波,等效矩形波的幅度就是半波平均值。
在開關電源中,正激電壓和反激電壓是同時存在的,但大多數單激式開關電源中一般只能有一種脈沖電壓用于功率輸出。這是因為單激式開關電源一般都要求輸出電壓可調,即:通過改變控制開關的占空比來調整開關電源輸出電壓的大小。如:在正激式開關電源中,只有(1-76)式等號左邊的半波平均值Upa電壓向負載提供功率輸出,通過改變控制開關的占空比D,就可以改變其輸出脈沖電壓的平均值Ua的大小;在反激式開關電源中,只有(1-76)式等號右邊的半波平均值Upa-電壓向負載提供功率輸出,通過改變控制開關的占空比D,就可以改變其輸出電壓的負半波平均值Upa-的大小。
在(1-76)式中,如果把等號左邊的Upa看成是正激電壓,則等號右邊的Upa-就可以看成是反激電壓,反之則反。在正激式開關電源中,由于只有正激電壓Upa向負載提供功率輸出,所以反激電壓Upa-就相當于一個附屬產品需要另外進行回收;在反激式開關電源中,由于只有反激電壓Upa-向負載提供功率輸出,所以正激電壓Upa就相當于用來對能量進行存儲,以便于給反激電壓Upa-提供能量輸出。
如果(1-76)式中正激電壓沒有電流輸出,就不能把正激電壓看成是正激式輸出電壓,我們應該把它看成是反激式輸出電壓的一個過程,就是為反激式輸出電壓存儲能量。這樣定義雖然有點勉強,但主要目的還是為了讓我們增強對開關電源工作原理的理解。
這是因為,(1-76)式中無論是正激電壓Upa或是反激電壓Upa-,都是由流過變壓器初級線圈的勵磁電流產生的磁通,通過互感的作用所產生的。但勵磁電流產生的磁通并不直接向正激電壓Upa提供能量輸出,因為(1-72)、(1-73)、(1-74)、(1-75)等式中的磁通
并不是由正激電流產生的,而是由流過變壓器初級線圈的勵磁電流產生的。勵磁電流產生的磁通
雖然通過電磁感應會產生正激電壓,但它不產生正激電流輸出,即:勵磁電流對正激式輸出電壓不提供功率輸出。不管正激式輸出功率或電流多大,變壓器初級線圈中的勵磁電流或變壓器鐵芯中磁通
的變化只與輸入電壓和變壓器的初級電感量有關,而與正激式輸出功率或電流大小無關。
這是因為我們把變壓器鐵芯中的磁通
分成了兩個部分來進行分析的緣故,即:在變壓器鐵芯中產生的磁通,可分成由流過初級線圈電流產生的磁通和由流過次級線圈電流產生的磁通。正激輸出電流產生的磁通與流過變壓器初級線圈電流產生的磁通,方向相反,但不能完全抵消,而互相抵消剩下來的磁通正好就是勵磁電流產生的磁通。因此,勵磁電流產生的磁通是不會跟隨正激輸出電流的大小而改變的,只有反激輸出電流產生的磁通才會改變勵磁電流在變壓器鐵芯中儲存的磁通,這種現象稱為退磁。
[page]
正激式輸出脈沖電壓的幅度只與變壓器的輸入電壓和變壓器的初、次級線圈的匝數比有關,而與占空比D的大小無關;反激式輸出電壓的幅度,不但與輸入電壓Ui和變壓器初、次級線圈的匝數比N有關,還與占空比D的大小,以及變壓器初級線圈勵磁電流?i1變化率的大小有關,因此,兩種開關電源輸出電壓的機理是不一樣的。
在變壓器開關電源中,正激式輸出電壓的計算相對比較簡單,而反激式輸出電壓的計算相對比較復雜。因此,如果沒有十分必要,最好采用半波平均值的概念來計算,通過用(1-76)式計算正激電壓的半波平均值,來推算反激式輸出電壓的半波平均值。因此,利用半波平均值的概念,再根據(1-76)式,就很方便計算出開關電源的正、反激式輸出電壓。
根據(1-64)式與半波平均值的定義,可以求得正激式開關電源輸出電壓為:

根據(1-71)式和(1-76)式,可以求得反激式開關電源輸出電壓為:

由(1-77)、(1-78)和(1-79)、(1-80)式看出:
正激電壓的幅值Up或半波平均值Upa是不會跟隨控制開關的接通時間Ton或占空比D的改變而改變的;而反激電壓的幅值Up-或半波平均值Upa-則要跟隨控制開關的接通時間Ton或占空比D的改變而改變,占空比D越大,反激電壓的幅值Up-或半波平均值Upa-就越大。正激式開關電源與反激式開關電源的區別不只是輸出電壓極性的不同,更重要的是變壓器的參數要求不一樣;在正激式開關電源中,反激輸出電壓的能量與正激輸出電壓的能量相比,一般都比較小,有時甚至可以忽略。因為,一般正激式變壓器初級線圈的電感量比反激式變壓器初級線圈的電感量大很多。
當開關電源工作于正激式輸出狀態的時候,改變控制開關K的占空比D,只能改變輸出脈沖電壓的平均值Ua,而輸出電壓的幅值Up不變(對于圖2-16);當開關電源工作于反激式輸出狀態的時候,改變控制開關K的占空比D,不但可以改變輸出電壓uo的幅值Up-(對于圖2-16),而且也可以改變輸出電壓的平均值Ua- 。
特別指出:上面(1-77)、(1-78)和(1-79)、(1-80)是根據圖1-16中變壓器線圈設定的極性(同名端)求得的,如果變壓器線圈的極性與圖1-16中變壓器線圈的極性相反,則(1-77)、(1-78)和(1-79)、(1-80)中的Upa、Upa-和Ua、Ua-也要互相調換。
另外,在決定反激式開關電源輸出電壓的(1-79)式中,并沒有使用反激輸出電壓最大值或峰值Up-的概念,而(1-79)式使用的Up正好是正擊式輸出電壓的峰值,這是因為反激輸出電壓的最大值或峰值Up-計算比較復雜((1-69)式),并且峰值Up-的幅度不穩定,它會隨著輸出負載大小的變化而變化;而正擊式輸出電壓的峰值Up則不會隨著輸出負載大小的變化而變化。但在實際應用中,當需要考慮電子器件的最高工作電壓時,反激輸出電壓的最大值一定要考慮到。
相關閱讀:
專題:陶顯芳老師30年經驗大分享,開關電源設計那些事兒
http://aolaiaolisita.com/special/181
【連載7】陶顯芳老師談開關電源原理與設計
http://aolaiaolisita.com/power-art/80021940
【連載8】全橋式變壓器開關電源工作原理
http://aolaiaolisita.com/power-art/80022082




