- SRD無線系統設計時頻率的選擇
- 跳頻系統對頻帶的擴展
- 寬頻調變對頻帶的擴展
- 各系統通信協議的選擇
Bluetooth、WLAN、ZigBee等短距離無線技術之裝置(SRD)日益增加,本文將鎖定使用全球不需執照授權的1GHz以下頻帶進行詳細介紹,并分析跳頻展頻(FHSS)、直接展頻(DSSS)等不同寬帶調變技術,以及各國相關現行做法,提供1GHz以下頻帶無線系統設計者最佳開發導覽。
SRD無線系統設計需考慮頻率選擇
短距離裝置(SRD)此一名稱所涵蓋的,是能夠提供單向或雙向通訊,且幾乎不會對其他無線電設備造成干擾的各類無線電發射器。我們很難將所有SRD的應用完整列出,因為它們提供了太多不同的服務,其中較為受歡迎的應用包括有:
家庭遙距控制(Telecontrolforhome),或是其它建筑物自動化系統
無線感測系統
警報器
汽車,包括遙控免鑰匙門禁與遙控汽車啟動
無線語音及視訊
SRD無線系統的設計者在選擇無線通信頻率上需要格外小心。在大多數的情況下,此選擇被侷限于頻譜中容許免執照使用的那些部份,而前提是必須符合使用上的特定規格與條件。表一所列為全球可使用的頻帶。
全球頻率分配

表一.全球SRD頻率分配
2.4GHz頻帶被設計者普遍使用來建構能夠全球使用的各種系統,事實上,該頻道已經成為Bluetooth、WLAN及ZigBee等標準的不二選擇。5.8GHz的頻帶也已吸引不少的注意,舉例來說,像是無線電話或是WLAN的802.11a版本等。
然而,對于同時需要較大范圍及較低功耗的系統而言,低于1GHz的頻帶由于其較低的共存性(co-existence)問題與較大的傳送范圍,仍是有其必要性的,因為此兩者都會影響到功耗,而功耗對于以電池供電的應用而言是一個非常重要的考量。
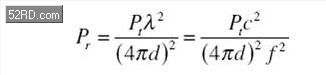
低頻發射器傳送范圍的改善,可以用簡化版的Friis傳輸方程式來表示,此方程式提供了接收天線上存在的功率Pr與供給發射天線的功率Pt兩者之間的關系:

此方程式中假設兩支天線有一致的增益,它可顯示出,對于一固定的發射功率Pt而言,接收到的功率會隨著距離d的平方,以及頻率f的平方而降低(或是隨著波長λ的平方而增加)。當接收的功率低于能正確解調變信號所須的最小功率(即所謂的靈敏度點:sensitivitypoint)時,連結便會崩潰。
全球低于1GHz的頻率分配
表II中提供了各種低于1GHz標準的更多細節說明,這并不是一個最完整的列表,如需要更多的細節,可從表中所提供的網路連結去取得。

表二.有些共通區域的SRD頻帶
[page]
433MHz是全球皆可使用的選項之一,唯一的例外是在日本需要些微的頻率更改(大部份新款且具頻率彈性的發射接收器:Transceiver,都可以輕易處理此問題)。但由于頻寬只有2MHz,通常來說是無法在此頻帶上實現語音、視訊、音訊、及連續性資料傳送等應用,因此也限制了它的用途。大致上來說,此頻帶最常被使用于免鑰匙門禁系統及基本遙距控制上。
868MHz(歐洲)及902MH~928MHz(美國)附近的頻帶就好用許多,它們不會被侷限在特定的應用中,也容許採用較小的天線。其它的地區如澳洲及加拿大等,則採用了這些規格的不同版本,因此讓此頻帶雖具有多區化特性,但未達到完全全球化的程度。
不過,在最近的EN300220規格出現之前,美國與歐洲的組織採用了相當不同的作法。美國採用的是跳頻(frequency-hopping)的方式,而歐洲則是如同其ERCREC-70文件中所載明的一般,在每一個次頻帶(sub-band)中加上工作週期(duty-cycle)的限制。這兩種作法在降低干擾上都能有其效用,但對于必須為此兩大地區設計出共通系統的制造商來說,就得完全重寫系統通信協定中的媒體存取層(MAC)。
幸好最新的歐洲EN300229規章(于2006年年中發佈)已將頻帶加以延展,以便能容許跳頻展頻(frequency-hoppingspread-spectrum,FHSS)或直接序列展頻(direct-sequencespread-spectrum,DSSS)。這讓MAC的作法與針對美國的設計較為相似,雖然某些微調仍是必要的。以下將說明此新規格的某些部份,這些部份是SRD系統設計者所必須考慮到的。
跳頻系統
跳頻展頻(FHSS)發射技術是藉由將頻譜切割為一定數量的頻道,以便把時域中的能量加以分散,并在這些頻道之間依虛擬隨機(pseudorandom)順序進行跳躍,或是稱之為跳碼(hoppingcode),這是接收機與發射機中所為人熟悉的。為了迎接新加入網路中的節點(node),控制節點會週期性的送出一標識(beacon)信號,讓新加入的節點能與其進行同步,同步所須時間會依標識期間長度及跳躍的頻道的數量而定。美國與歐洲標準都制訂了相似數量的跳躍頻道,以及400ms的最大停留(dwell)時間(在任何單一跳躍期間內,于某一特定頻率上所花費的時間)。
如表三所示,為使用FHSS時,歐洲的擴展頻帶上(低于870MHz)所需要的頻道數量、有效發射功率(ERP)、及工作週期。當符合"說前先聽(listen-before-talk,LBT)"或是工作週期有效率限制值時,便可有高達7MHz的頻寬可供使用,以往則只有2MHz的范圍。

表三.歐洲頻道需求

圖一.ADF7020SRD傳送接收器的方塊圖
"說前先聽"此一"禮貌"通信協定在啟始一傳送之前,會先"掃描"頻道上的活動。這種也被稱為"干凈頻道評價"(cleanchannelassessment,CCA)的協定,與頻率跳躍的共用可以讓系統沒有工作週期上的限制。
[page]
寬頻調變:DSSS
除了FHSS,直接展頻(DSSS)也被新的歐洲法令所納入,在DSSS系統中,窄帶的信號被乘上一高速虛擬亂數(PRN)序列,以產生出展頻信號。每一個PRN脈沖稱為一個"chip",而序列的速率則是叫作"chiprate"。至于原始窄帶信號所能展開的程度,則是稱之為處理增益(processinggain),此為chiprate(RC)對窄帶資料符號率(narrowbanddatasymbolrate)的比值。圖二所示為FHSS與DSSS的比較。

圖二.FHSS與DSSS的頻譜
在接收器端,送入的展頻信號被乘上同樣的PRN碼,以進行信號的反展頻(de-spread)處理,將原始的窄帶信號擷取出來。于此同時,接收器中任何的窄帶干擾源會被展開,而以寬帶雜訊的型態呈現在解調變器上。由于系統中的每一個使用者所分配到的PRN碼不同,因此能夠將共用同一頻帶的使用者之間加以隔離,這就是所謂的CDMA(code-divisionmultipleaccess)。
使用DSSS調變的一些系統例子,包括了IEEE802.15.4(WPAN)、IEEE802.11(WLAN)、及GPS等。DSSS的主要優點為:
1)干擾彈回(interferenceresilience)-DSSS的干擾抗拒能力,實質上是來自于將有用的信號乘上兩次(展開與反展開)PRN碼,
而任何的干擾源則只乘上一次(展開)。
2)低功率頻譜密度(spectraldensity)-利用窄帶系統將導入的干擾最小化。
3)安全性–由于採用展開/反展開處理,對于擁塞(jamming)有非常好的抵抗能力。
4)能減輕多通道效應。
DSSS或FHSS以外的寬帶調變
新的歐洲法令中一個有趣的點,在于它們也提供FHSS及DSSS以外的其它寬帶展頻調變技術。像是具有超過200kHz頻寬的FSK/GFSK(Gaussianfrequencyshiftkeying)調變,便是歐洲法令下的寬頻調變。表IV為適用于歐洲寬帶調變架構的主要規格(包括DSSS):

表四.展頻調變(除了FHSS以外)與寬帶調變的最大發射功率密度、帶寬及工作週期限制
ISM帶發射接收器IC如ADF7025,便是一個能夠充份利用到此寬帶標準中使用FSK調變所帶來的好處之產品。為了要能動作于865MHz到870MHz的次頻帶,設計上就必須符合最大佔用帶寬(99%)及最大功率密度限制。此外,頻道邊緣(edge-of-channel)或頻帶邊緣的最大功率限制也被設定在-36dBm。
如果將ADF7025依表五來予以設定,則可全部符合這三個限制。如圖五所示,佔用帶寬為1.7569MHz,而峰值頻譜密度則是-1.41dBm/100kHz。

表五.ADF7025于寬帶調變實驗時的參數
[page]
ADF7025由于使用了寬帶調變,有能力實現高資料率(在此情形下為384kbps),因此可以在次1-GHz的歐洲ISM頻帶中傳送音訊及媒體品質視訊(每秒數個圖框)。
美國法令(FCCpart15.247)與歐洲有類似的分配方式,提供了運作于902MHz到928MHz、2400MHz到2483.5MHz、以及5725MHz到5850MHz頻帶的跳頻系統,但也同時提供"數位調變"信號。這是同時涵蓋了展頻(DSSS)與其它較簡單型態調變方式(如FSK、GFSK等)的一個很松散的說法,因此和歐洲法令中的"寬帶調變"規格頗為相似。其最主要的要求為:
1.最小6-dB帶寬應至少為500kHz。
2.對于數位調變系統而言,在任何連續傳送時間間隔中的任意3k-Hz頻帶上,從發射端到天線所傳導的功率頻譜密度不可超過8dBm。
任何希望使用FHSS以外系統的人,通常都需要將場強度(fieldstrength)限制在50mV/m(-1.5dBmERP)。但在數位調變的場合中,只要能符合最大功率頻譜密度限制,則最大輸出功率為1W。因此,在使用ADF7025時,由于其FSK頻率偏差寬度足以確保6dB帶寬能夠大于500kHz,因此可容許1W的ERP。此外,由于有寬信號帶寬,還可實現較高的資料率(ADF7025的最大值為384kbps)。
ADF7025的共同頻道排斥(co-channelrejection)會根據干擾源的帶寬,在共同頻道上從-2dB(最差狀況)變化到+24dB。這可以拿來與具有-4dB共同頻道排斥值的商用802.15.4DSSS發射接收器相比,使用的是擁塞信號(jammingsignal)為IEEE802.15.4的調變信號。
使用上述方法,就可以在美國與歐洲使用相似的寬帶調變系統,并簡化出貨到全球市場產品的開發工作。ADF7025傳輸接收器架構可支援美國所定義的"數位調變"模式,與在歐洲所定義的"寬帶調變"模式。

圖三.ADF7025的寬帶調變實驗結果:(a)FSK調變信號,99%佔用帶寬量測;(b)前項的局部放大,以量測最大功率頻譜密度。
暫態(transient)功率需求
工程人員也需要了解到歐洲法令中,一項加諸在暫態功率上的限制新規格,也就是當發射器在正常運作中開關時,落入臨近頻譜的功率。將此限制加入最新法令中的目的,是要避免頻譜飛散(spectralsplatter)。
當送入功率放大(PA)的電流增大(開啟)或減小(關閉)時,從電壓控制震盪器(OSC)所看到的負載會隨之改變。這會在迴路試圖重新取得鎖住時,造成PLL短暫的開鎖(unlock),并產生混附發射(spuriousemissions)或頻譜飛散。對于只在間隔時間內傳送一個單位的系統中,頻譜飛散會明顯增加落入臨近頻道的功率。
圖四加強說明了頻譜飛散的問題,其中黃色的軌跡線表示當PA以每次100ms的速度開關,而頻譜分析儀維持在最大保持(maximumhold)設定時,ADF7020發射器的PA輸出頻譜。可以很清楚的看出來,有明顯的功率會落入載波(carrier)兩邊的頻道中。藍色的軌跡線則是以每100ms64階的速率被提升與拉下的PA輸出,表示出落入臨近頻道的功率有相當程度的下降。最新的EN300220法令中的規格8.5,便針對落入臨近頻道功率制定限制值。

圖四.本文中所敘述的測試所得到的ADF7020輸出頻譜
[page]
量測程序要求發射器需要在最大輸出功率的情況下開關5次,并分別量測落入載波兩側的第二階、第四階、及第十階頻道。
要確保能符合此規格的最簡單方式,是將PA逐漸的從關拉到開、或是從開拉到關。這通常是利用微控制器以分階方式開關PA來完成的。透過ADF7020發射接收器,可以將PA從關的狀態經過最多63階的控制調整到+14dBm。另一個較快及較簡單的方法,是使用具有自動PA上下控制的傳送接收器。ADF7021便具有可編程的上下控制,讓使用者可以設定步階的數量及每一個步階的期間。
通訊協定考量
ADI目前正在更新其ADIismLINK(2.0版)協定軟體,這套軟體可適用于任何的ADF702x傳送接收器。此一針對全球次1-GHz頻帶使用而設計的協定,採用了新版的歐洲法令,并以圖5中所示的星狀網路(高達255個端點)為其基礎。

圖五.星狀網路拓樸
在協定的中心,為一無槽式(nonslotted)、非持續(nonpersistent)的"載波感測多重存取-沖突防止"(CSMA-CA),端點(EP)會在傳送前先聆聽該頻道(LBT)以防止沖突。
此協定的"無槽式"觀念,讓EP們先執行lBT動作,其后只要有資料就可以立刻傳送,此作法也確保不需要同步動作。如果EP感測到該頻道正處于忙碌狀態,就會在執行下一個LBT之前等候(back-off)一不定時間。此等候動作的發生次數是有限制的,因此此協定具有非持續的特性。在FHSS模式下,此協定會在每一個跳躍頻道上使用這個CSMA-CA系統,所以能滿足新歐洲法令的LBT要求。
ADIismLINK協定的實體層(PHY)與媒體存取層(MAC)參數具有相當高的設定彈性,因此能容許完整的裝置與系統評估。此外,ADI也提供相關原始碼,以簡化系統開發的步驟。此協定是隨ADF702x開發套件(ADF70xxMB2)共同出貨,圖六所示為ADIismLINK的系統總覽。

圖六.ADIismLINK系統總覽
新的歐洲法令對于863MHz到870MHz之間頻帶的空中傳遞(over-the-air)協定加入了非常明細的要求。不論系統是使用單頻道協定、FHSS或DSSS,都有需要遵守的特定規定。此改變必然會讓協定設計復雜化,但這些新ETSI法令的好處是在許多方面與FCCPart15.247相似,因而得以簡化針對多區域使用的協定設計。而善用如ADI所提供之開發套件(內含協定范例),將能減輕短距無線網路設計之負擔。





