【導讀】在手持設備中給射頻功放供電一直是一個比較難做的設計,因為一方面需要提高射頻功放的工作效率用來延長電池的工作時間,另一方面又不能在提高工作效率的同時降低功放的工作性能,所以必須為其提供一個滿足要求的高效直流電源。小編特意找來這篇文章,相信今天給大家帶來的方法一定會讓大家大呼過癮!
常規的方式是將功放的電源端與電池直接連接供電,但是這種工作模式會使得功放的工作效率很低,不能滿足高效低功耗要求。德州儀器公司推出的SuPA(Supply for Power Amplifier)系列的 DC-DC 產品從工作機理上做了創新,采用平均功率跟蹤(Average Power Track)技術和包絡跟蹤技術(Envelop Tracking)優化了射頻功放工作時功率消耗,從而提高了功放的工作效率,延長了電池的工作時間。本文著重闡述平均功率跟蹤技術的工作原理和 SuPA 的應用設計,從而方便設計工程師能夠快速地理解和應用此項技術,實現高效的功放電源設計。
1、簡介
當前越來越多的手持設備要求滿足盡可能長的工作時間,常用的方式是:一方面,優化系統軟件,將不用的軟件關掉以節省更多的電能,用來延長電池的工作時間,這在優化應用處理器的功率消耗非常有效;另一方面,優化系統的硬件設計,采用低功耗、高效率的電源管理單元,這在優化射頻單元和應用處理器單元的功率消耗非常有效,SuPA 是專業用于射頻單元里驅動功放的電源,除了繼承 DC-DC 的高的工作效率的優點以外,它還采取了平均功率跟蹤技術(APT)用以配合射頻功放工作時不同功率對電壓的需求,動態調整輸出電壓給功放供電,從而滿足高效的工作效率。
2、什么是包絡跟蹤技術(Envelop Tracking)
簡而言之,就是在功放的工作電壓與輸入的射頻信號之間建立聯系使之實時互相跟隨,從而提高功放的工作效率的技術,按照理論計算,相對直接使用電池的供電方式,它可以幫助系統節省 65%的功耗,SuPA 的新一代產品將會支持此模式。它的基本原理是:射頻處理單元和基帶處理單元根據射頻信號、功率等級和功放的自身特性參數(可以使用功放的查詢表 Look Up Table 或者又被稱為調理表 Shaping Table)計算出包絡信號(Envelop signal),同時射頻、基帶單元中的差分 DAC 會提供一個模擬參考信號, ET 電源(ETPS)會將包絡信號放大,然后送往 PA,于此同時 PA 會將 RF 信號放大,使得 RF 信號和 PA 的工作電壓跟隨,最后功放將放大后的信號送給雙工器,雙工器會把帶寬以外的信號衰減掉,同時將有用的信號凸顯出來。圖 1、圖 2、圖 3 描述這個過程中的信號調理過程。



3、什么是平均功率跟蹤技術(Average Power Track)
這種方式又稱為自適應電壓調節方式(Adaptive Supply),它是根據功放的預先輸出功率、結合功放的自身參數(可以使用功放的參數查詢表 Look-Up-Table)來自動調整功放的工作電壓的技術,按照理論計算,相對于電池直接供電模式,它可以幫助系統節省 40%的電能。相對 ET 方式,APT 使用和設計起來更加簡單和方便,SuPA 當前產品主要支持這種模式。


4、射頻功放的發展趨勢和特點
隨著數據業務的不斷增加,目前已經由 2G 向 3G 和 4G 轉移,所以要求功放承擔更多的任務,因此要求功放具有更多工作模式和頻率帶寬滿足不同地區的制式,同時還要滿足更高的工作效率從而保持電池的長時間續航能力,因此為了滿足這種要求,使用 ET 模式或者 APT 模式的射頻電源就逐步成為趨勢,以下圖圖示為例,它的射頻電源單元可以支持 4 種帶寬的 GSM/EDGE 模式。

5、SuPA 在射頻單元中的位置
SuPA 是位于系統中的 RF 單元中給功放供電的位置,它在電池和功放之間,將電池電壓根據基帶單元和射頻單元提供的功率信號以及配合功放的自身特性信號轉換成功放的可以處于最優工作模式的工作電壓,驅動功放工作在高效模式,達到節省電能的目的。

6、APT 模式的 SuPA 工作機理
1. UCC27201 datasheet, Texas Instruments Inc., 2008
2. LM5035 datasheet, Texas Instruments Inc., 2013
SuPA 電源變換器與傳統的同步整流降壓型直流變換器的內部拓撲是一致的,沒有很大的不同,但是它的負載動態響應和主動負載電流輔助旁路控制(Active Current assist and Bypass)是做過優化的,因此它可以滿足當負載電壓和電流發生變化時可以快速響應,主動電流輔助旁路功能可以滿足當入口電壓瞬間下降或者負載電流瞬間增加時,可以將變換器迅速切換成類似負載開關模式,這樣做有兩個好處:第一,可以將電池能量快速提供給負載,滿足負載需求;第二,可以使用小尺寸、小電流電感,當負載電流超過電感的電流極限時,那么 ACB 功能開關 V3 就會進入工作模式,將額外的負載電流承擔過來提供給負載,無需再經過電感,所以可以使用小尺寸的電感,滿足超緊湊設計要求,這在實際應用設計中是非常重要的。
它的工作過程是:首先當開關管 V2 導通時,V1 是斷開的,入口電源會給電感充電,此時電感兩端的電動勢是左邊為“正”,右邊為“負”,當電感充電完成后,V2 會斷開,V1 會導通,此時電感上的兩端電壓會反向,變為左邊為“負”,右邊為“正”,于是電感中儲存的能量會經過負載、V1 然后回流到電感的負極,此時的電感更像是一顆電池給負載供電。電感的充電和放電過程會周而復始的進行,于是就會源源不斷的向負載提供連續的電流,它的數學表達式是:Vo=D*Vin,其中 D 是占空比,即 V2 導通的時間在整個開關周期內所占的比例。
VCON 是用來接收來自射頻處理芯片組或者基帶芯片組的控制信號,這個信號會送進 SuPA 直流變換器控制單元,將輸出電壓和 VCON 電壓信號按照 A 倍的系數進行轉換,于是輸出電壓和 VCON 信號就會按照 A 倍的比率進行轉換,即:Vo=A*VCON;當入口電壓跌落或者負載電流意外增加時,造成變換器瞬間過流,于是就會開啟主動電流輔助旁路功能(ACB)模式,V3 會將電池電壓或者入口電源的電壓調整后再接入系統,滿足瞬間大負載電流需求,但是當入口電壓進一步跌到與輸出電壓一致或者壓差在 200mV 以內時,V3 就會立刻完全導通,進入真正的旁路模式,這是 SuPA 的獨到的控制模式,比如 2G 的 PA 瞬態電流往往會超過 2A,于是旁路功能就會顯得非常重要;在 3G 或者 4G 時,電流需求量不會很大,于是 SuPA就工作在單一的 DC-DC 轉換模式,滿足高效率要求。

圖 8. SuPA 直流電壓轉換器功能簡化框圖, Io=Io1+Io2, Vin-Vo>0.2V, Io>1.45A

圖 9. SuPA 直流電壓轉換器功能簡化框圖, Io=Io1, Vin-Vo< 0.2V
7 SuPA 變換器高效率工作機理和效率曲線
SuPA 可以工作在高效省電和低噪音兩種模式,這兩種模式是自動轉換的,當負載電流低于 100mA 時,它工作在省電模式(PFM/ECO,開關頻率會自動降低,減少開關損耗);當負載電流超過 100mA 時,它工作在低噪音模式(PWM,開關頻率恒定不變,滿足大負載電流輸出),這樣做可以保證 SuPA 在寬范圍內的負載條件下,依然可以保持高效的工作狀態,達到節省電能的目的,延長手持設備的的工作時間。
SuPA 可以工作在高效省電和低噪音兩種模式,這兩種模式是自動轉換的,當負載電流低于 100mA 時,它工作在省電模式(PFM/ECO,開關頻率會自動降低,減少開關損耗);當負載電流超過 100mA 時,它工作在低噪音模式(PWM,開關頻率恒定不變,滿足大負載電流輸出),這樣做可以保證 SuPA 在寬范圍內的負載條件下,依然可以保持高效的工作狀態,達到節省電能的目的,延長手持設備的的工作時間。



8 APT 模式的 SuPA 的內部電路框圖剖析
以 LM3242 為例做一個詳細設計說明,LM3242 是開關頻率為 6MHz 的面向 3G 和 4G 功放的驅動電源,輸出電壓從 0.4V 到 3.6V 連續可調,帶有 ACB 模式(FB 管腳和 VIN 管腳之間的 MOSFET 承擔此功能,復用 FB管腳功能),最大輸出電流可以支持到 750mA (DC-DC 模式)和 1A(ACB 模式),支持自動省電和低噪音模式;它的下一代產品 LM3243 可以支持高達 2.5A 的輸出電流,帶有單獨的 ACB 管腳實現主動式輔助電流旁路模式,因此 LM3243 可以支持到 2G/3G/4G 模式,功能更加豐富,適用范圍更寬。
從它的內部功能框圖中可以看到,主開關管 V1 和 V2,承擔降壓變換功能,符合 Vo=D*Vin,而開關管 V3,承擔 ACB 功能,FB 管腳被復用,承擔電壓反饋和 ACB 能量輸出作用;VCON 管腳是用來接收來自射頻單元或者基帶單元給出的模擬電壓信號,這個信號是由基帶單元和射頻單元的處理芯片將射頻信號信息以及射頻功放的特征信息經過計算轉換成的可變電壓信號,這個可變電壓信號被送入 LM3242,使得輸出電壓跟隨這個可變輸入電壓信號,它們可以用數學公式描述:Vo=A*VCON,A=2.5,VCON=0.16V~1.44V。

9 APT 模式下 SuPA 的原理圖設計和關鍵功率器件設計:

圖 14 是 LM3242 的典型原理圖,為了清楚闡述功率器件設計過程,下面將分為兩大部分進行說明。
輸入、輸出電容設計考慮:
從圖 14 中可以看到輸入電容為 1nF 和 10uF 組合,這樣做的原因是可以濾除不同頻率的噪音,輸入端噪音可以來自兩個部分:第一,來自于輸入端電源總線上的噪音,比如總線還給其他負載供電,而這些負載的電源也是來自于 DC-DC 變換器,因此在電源總線就會疊加非常豐富的噪音;第二,來自于 LM3242的自身開關噪音,它的開關噪音同樣會疊加在輸入端,因此可能會干擾總線上的其它負載芯片,所以實際設計時,入口還會需要更多不同容值的電容才可以滿足濾除不同噪音頻率的要求,比如 10pF 或者 100pF的電容也會用到,不同容值的電容所針對的最佳濾除頻率也是不一樣的,對于大容量的電容來說它可以濾除的頻率范圍相對來說窄一些,因為它的拐點頻率比較低,在拐點頻率之內,電容的阻抗是呈下降趨勢,也就是表現的是容性特質,但是拐點頻率之上,阻抗是呈上升特性,則表現的是電感特性,因此不再具有濾波作用,這也就是需要搭配不同容值電容的原因所在,因為噪音頻率非常豐富,一種容值的電容是不可能把寬頻帶的噪音全部濾除掉,另外還要注意同等容值、同等耐壓的小尺寸的電容表現出來的容性帶寬更寬一些,這主要是小尺寸的電容它的內部寄生電感量更小一些、同時它的有效容量更低一些,因此表現出來的特性就是濾除噪音的帶寬更寬一些,從圖中可以看出小容量但是尺寸更小的 01005 封裝的電容,它可以濾除的噪音頻帶更寬。

輸出電感設計考慮:
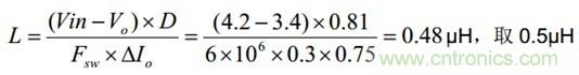
功率電感的計算,一般可以參照下面公式進行計算

Vo………………………..輸出電壓
D………………………….Vo/Vin
Fsw………………………開關頻率,比如 LM3242,開關頻率是 6MHz
ΔIo……………………….電感內部的紋波電流,可以取(0.2~0.5)Io
設計范例:
Vin=4.2V,Vo=3.4V,Io=0.75A,ΔIo=0.3*Io,Fsw=6MHz,D=3.4/4.2=0.81
則:

從公式中可以看出來,紋波電流越小則電感量就會越大,越小的紋波電流則在輸出電容上產生的紋波電壓就會越?。y波電壓=輸出電容的 ESR*紋波電流),但是電感的尺寸會變大,不利于小尺寸設計,因此在實際設計時,需要平衡電感量、紋波電流、電感尺寸之間的關系。在選擇電感時,除了要滿足電感量參數外,還要考慮電感的可以承受的最大電流,即 IRMS 電流值,同時還要考慮電感的飽和電流值,即 ISAT,如果流過電感的總電流ITOTAL=IDC+IRIPPLE 超過了 ISAT,那就會使得電感飽和而失去了電感特性,即由電感變成了導線,從而造成變換器失效而損壞,通常來說,工程上快速評估可以采取 1.5 倍的 Io 做為一個合適的選取標準,比如輸出負載電流為1A,那么選擇電感的有效電流 IRMS 為 1.5A 為宜;還要注意的是,盡量選取帶有屏蔽功能的電感,這樣可以減少DC-DC 變換器工作時對外部環境造成的干擾。
10 SuPA 的 PCB 設計和 PCB 板疊層設計
1. 功率器件的位置(輸入、輸出電容和電感)
如下圖所示,

從圖中可以看出入口電容C1和C2是放置在芯片PVIN管腳最近的位置,輸出電容是放在距離電感輸出端最近的位置,這樣做的原因是保持輸入端功率回路包含面積(芯片,C1和C2、地線組成的環路)以及輸出端功率回路面積(輸出電感、C3、C4、地線)最小,這樣可以有效減小開關電源噪音對外部環境的干擾,這是在射頻電路設計中需要仔細考慮的要點。
2. 功率器件與芯片間的連線和PCB板疊層定義
PCB 板疊層設計舉例:
表 層:用于連接流過大電流的連線,比如輸入、輸出電容、電感的電源線。
第二層:連接信號用的連線可以放置在此層,注意的是 FB 管腳是被復用的(做為 ACB 使用)會承載比較大的電流,因此需要使用 10mil 以上的線寬連接。
第三層:連接 SW 的連線可以放置此層,SW 是用來承載大于 1A 以上的峰值電流,因此線寬需要大于 15mil。
在某些應用時甚至需要分配兩層同時放置 SW 銅線(兩層疊加),用于減小寄生電感,盡可能降低在此銅線上的dv/dt,即 SW 上的開關噪音振鈴幅值。
第四層:系統地層,它需要一層完整的銅箔作為地層,它可以作為芯片 SGND/PGND 的公共連接地層。




11 結論和主流射頻功放電源產品
當今的手持設備功能越來越豐富,因此對于手持設備的電源系統設計來說挑戰性越來越高,在滿足高性能的同時盡可能延長續航時間是電源設計的終極目標,本文所討論的 SuPA 產品可以有效節省射頻單元的耗電量,盡可能把寶貴的能量留給其他應用處理器,有效提高設備的工作時間,目前德州儀器公司出品了一系列產品去滿足不同射頻功放的要求,比如 LM3242,LM3243,LM3262,LM3263 以及支持既可以升壓又可以降壓的產品滿足未來的 4G 應用。
相關閱讀:
射頻工程師看過來:功率放大器那點事!
射頻器件知多少?功放事兒這里找!
射頻功率管的輸入輸出阻抗測量方法





