【導讀】“雷達”是一種利用電磁波探測目標位置的電子設備。電磁波其功能包括搜索目標和發現目標;測量其距離,速度,角位置等運動參數;測量目標反射率,散射截面和形狀等特征參數。傳統的雷達是微波和毫米波波段的電磁波為載波的雷達。激光雷達以激光作為載波??梢杂谜穹?、頻率、相位和振幅來搭載信息,作為信息載體。

激光雷達利用激光光波來完成上述任務??梢圆捎梅窍喔傻哪芰拷邮辗绞剑@主要是一脈沖計數為基礎的測距雷達。還可以采用相干接收方式接收信號,通過后置信號處理實現探測。激光雷達和微波雷達并無本質區別,在原理框圖上也十分類似,見下圖

激光雷達是工作在光頻波段的雷達。與微波雷達的原理相似,它利用光頻波段的電磁波先向目標發射探測信號,然后將其接收到的同波信號與發射信號相比較,從而獲得目標的位置(距離、方位和高度)、運動狀態(速度、姿態)等信息,實現對目標的探測、跟蹤和識別。
激光雷達由發射,接收和后置信號處理三部分和使此三部分協調工作的機構組成。激光光速發散角小,能量集中,探測靈敏度和分辨率高。多普勒頻移大,可以探測從低速到高速的目標。天線和系統的尺寸可以作得很小。利用不同分子對特定波長得激光吸收、散射或熒光特性,可以探測不同的物質成分,這是激光雷達獨有的特性。
激光雷達的種類
目前,激光雷達的種類很多,但是按照現代的激光雷達的概念,常分為以下幾種:
按激光波段分:有紫外激光雷達、可見激光雷達和紅外激光雷達。
按激光介質分:有氣體激光雷達、固體激光雷達、半導體激光雷達和二極管激光泵浦固體激光雷達等。
按激光發射波形分:有脈沖激光雷達、連續波激光雷達和混合型激光雷達等。
按顯示方式分:有模擬或數字顯示激光雷達和成像激光雷達。
按運載平臺分:有地基固定式激光雷達、車載激光雷達、機載激光雷達、船載激光雷達、星載激光雷達、彈載激光雷達和手持式激光雷達等。
按功能分:有激光測距雷達、激光測速雷達、激光測角雷達和跟蹤雷達、激光成像雷達,激光目標指示器和生物激光雷達等。
按用途分:有激光測距儀、靶場激光雷達、火控激光雷達、跟蹤識別激光雷達、多功能戰術激光雷達、偵毒激光雷達、導航激光雷達、氣象激光雷達、偵毒和大氣監測激光雷達等。
在具體應用時,激光雷達既可單獨使用,也能夠同微波雷達,可見光電視、紅外電視或微光電視等成像設備組合使用,使得系統既能搜索到遠距離目標,又能實現對目標的精密跟蹤。
激光雷達與微波雷達比較
激光雷達的波長比微波短好幾個數量級,又有更窄的波束。因此,于微波雷達相比,激光雷達具有如下優點:
1、角分辨率高,速度分辨率高和距離分辨率高。采用距離-多普勒成像技術可以得到運動目標的高分辨率的清晰圖象。
2、抗干擾能力強,隱蔽性好;激光不受無線電波干擾,能穿越等離子鞘,低仰角工作時,對地面多路徑效率不敏感。激光束很窄,只有在被照射的那一點,那瞬間,才能被接收,所以激光雷達發射的激光被截獲的概率很低。
3、激光雷達的波長短,可以在分子量級上對目標探測。這是微波雷達無能為力的。
4、在功能相同的情況下,比微波雷達體積小,重量輕。

當然,激光雷達也有如下缺點:
1、激光受大氣及氣象影響大。大氣衰減和惡劣天氣使作用距離降低。此外,大氣湍流會降低激光雷達的測量精度。
2、激光束窄,難以搜索目標和捕獲目標。一般先有其他設備實施大空域、快速粗捕目標,然后交由激光雷達對目標進行精密跟蹤測量。
激光雷達探測原理
激光雷達最重要的性能參數是系統信噪比(SNR)。下圖給出了激光雷達的非相干和相干接收機方框圖。

背景噪聲
非相干接收機除了信號光功率Ps以外,還有附加項,即背景光功率PBK。。它是由太陽光和物體的自身輻射,物體對輻射的反射、漫反射和閃爍等引起的不必要的噪聲信號在接收機非線性光探測器中變為電信號和被放大,經過匹配濾波器和其他抑制噪聲的措施后,產生一個視頻帶寬的有效信號。
相干接收機中,除了激光器所發出的頻率為f0的信號光外還有經過光束分束器的本振光。信號光的回波和本振光一同耦合到光探測。除了接收到光信號光功率PS,外本地震蕩光功率PLo,它們一同與背景噪聲項PBK相競爭,結果就壓抑了噪聲。
背景噪聲有:


上式中,ε是目標的輻射系數;ρ是目標的反射系數;T是目標的溫度(K);Δλ是光波長范圍(μm);AR是接收機探測器敏感面面積(m²);k1是太陽光通過大氣的透過系數;SIRR是太陽的輻射度();IS是大氣的散射系數;ηSys是系統的光學效率;ΩR是輻射體輻射的能量的立體角;σT是斯特藩-玻耳茲曼常數。
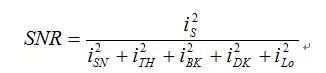
信噪比的表達

式中, 是信號電流的均方值; 是散彈噪聲電流的均方值; 是熱噪聲電流的均方值; 是背景噪聲電流的均方值; 是暗電流的均方值;是本振電流的均方值。
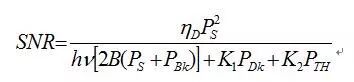
將以上電流代入信噪比SNR方程可以得到非相干和相干激光雷達信噪比方程:
非相干激光雷達的信噪比SNR方程可以表示為:

相干激光雷達的信噪比SNR方程表示為:


激光雷達關鍵技術分析
空間掃描技術
激光雷達的空間掃描方法可分為非掃描體制和掃描體制,其中掃描體制可以選擇機械掃描、電學掃描和二元光學掃描等方式。非掃描成像體制采用多元探測器,作用距離較遠,探測體制上同掃描成像的單元探測有所不同,能夠減小設備的體積、重量,但在我國多元傳感器,尤其是面陣探測器很難獲得,因此國內激光雷達多采用掃描工作體制。

機械掃描能夠進行大視場掃描,也可以達到很高的掃描速率,不同的機械結構能夠獲得不同的掃描圖樣,是目前應用較多的一種掃描方式。聲光掃描器采用聲光晶體對入射光的偏轉實現掃描,掃描速度可以很高,掃描偏轉精度能達到微弧度量級。但聲光掃描器的掃描角度很小,光束質量較差,耗電量大,聲光晶體必須采用冷卻處理,實際工程應用中將增加設備量。
二元光學是光學技術中的一個新興的重要分支,它是建立在衍射理論、計算機輔助設計和細微加工技術基礎上的光學領域的前沿學科之一。利用二元光學可制造出微透鏡陣列靈巧掃描器。一般這種掃描器由一對間距只有幾微米的微透鏡陣列組成,一組為正透鏡,另一組為負透鏡,準直光經過正透鏡后開始聚焦,然后通過負透鏡后變為準直光。當正負透鏡陣列橫向相對運動時,準直光方向就會發生偏轉。這種透鏡陣列只需要很小的相對移動輸出光束就會產生很大的偏轉,透鏡陣列越小,達到相同的偏轉所需的相對移動就越小。因此,這種掃描器的掃描速率能達到很高。二元光學掃描器的缺點是掃描角度較小(幾度),透過率低,目前工程應用中還不夠成熟。
激光發射機技術
目前,激光雷達發射機光源的選擇土要有半導體激光器、半導體泵浦的固體激光器和氣體激光器等。
半導體激光器是以直接帶隙半導體材料構成的Pn結或Pin結為工作物質的一種小型化激光器。半導體激光器工作物質有幾十種,目前已制成激光器的半導體材料有砷化鎵(GaAs)、砷化銦(InAs)、銻化鋼(InSb)、硫化鎘(Cds)、碲化鎘(cdTe)、硒化鉛(PbSe)、碲化鉛(PbTe)等。半導體激光器的激勵方式主要有電注入式、光泵式和高能電子束激勵式。絕大多數半導體激光器的激勵方式是電注入,即給Pn結加正向電壓,以使在結平面區域產生受激發射,也就是說是個正向偏置的二極管,因此半導體激光器又稱為半導體激光器_極管。自世界上第一只半導體激光器在1962年問世以來,經過幾十年來的研究,半導體激光器得到了驚人的發展,它的波長從紅外到藍綠光,覆蓋范圍逐漸擴大,各項性能參數不斷提高,輸出功率由幾毫瓦提高到千瓦級(陣列器件)。在某些重要的應用領域,過去常用的其他激光器已逐漸為半導體激光器所取代。

半導體泵浦固體激光器綜合了半導體激光器與固體激光器的優點,具有體積小、重量輕、量子效率高的特點。通過泵浦激光T作物質,輸出光束質量好、時間相干性和空間相干性好的泵浦光,摒棄了半導體激光器光束質量差、模式特性薺的缺點,與氙燈泵浦同體激光器相比具有泵浦效率高、T作壽命長、穩定可靠的優點。激光工作物質可以選擇釹(Nd)、銩(Tm)、鈥(Ho)、鉺(Er)、鐿(Yb)、鋰(Li)、鉻(Cr)等,獲得從1.047~2.8μm的多種波。目前,半導體泵浦固體激光器的許多工程應用問題已經得到解決,是應用前景最好、發展最快的一種激光器。
氣體激光器是目前種類較多、輸出激光波長最豐富、應用最廣的一種激光器。其特點是激光輸出波長范圍較寬;氣體的光學均勻性較好,因此輸出的光束質量好,其單色性、相干性和光束穩定性好。
高靈敏度接收機設計技術
激光雷達的接收單元由接收光學系統、光電探測器和回波檢測處理電路等組成,其功能是完成信號能量匯聚、濾波、光電轉變、放大和檢測等功能。對激光雷達接收單元設計的基本要求是:高接收靈敏度、高回波探測概率和低的虛警率。在工程應用中,為提高激光測距機的性能而采用提高接收機靈敏度的技術途徑,要比采用提高發射機輸出功率的技術途徑更為合理、有效。提高激光回波接收靈敏度的方法主要是接收機選用適當的探測方式和光電探測器。
探測器足激光接收機的核心部件,也是決定接收機性能的關鍵因素,因此,探測器的選擇和合理使用是激光接收機設計中的重要環節。目前,用于激光探測的探測器可分為基于外光電效應的光電倍增管和基于內光電效應的光電二極管及雪崩光電二極管等,由于雪崩光電二極管具有高的內部增益、體積小、可靠性好等優點,往往是工程應用中的首選探測器件。
激光雷達的回波信號電路主要包括放大電路和閾值檢測電路。放大電路的設計要與回波信號的波形相匹配,對于不同的回波信號(如脈沖信號、連續波信號、準連續信號或調頻信號等),接收機要有與之相匹配的帶寬和增益。如對于脈沖工作體制的激光雷達,放大電路要有較寬的帶寬,同時還要采用時問增益控制技術,其放大器增益不是固定的,而是按激光雷達方程變化曲線設計的控制曲線,以抑制近距離后向散射,降低虛警,并使放大器豐要工作于線性放大區域。
閾值檢測電路是一個脈沖峰值比較器,確定回波到達的判據是回波脈沖幅值超過閾值。這種方法的優點是簡單,但存在兩個主要缺點。首先,只要有一個脈沖幅值首先超越閡值,檢測電路就會將其確定為回波,而不管它是同波脈沖還是雜波干擾脈沖,從而導致虛警;其次是回波脈沖幅度的變化會引起到達時間的誤差,從而導致測距誤差。在高精度激光測距機中,通常采用峰值采樣保持電路和恒比定時電路來減小測時誤差。
終端信息處理技術
激光雷達終端信息處理系統的任務是既要完成對各傳動機構、激光器、掃描機構及各信號處理電路的同步協調與控制,又要對接收機送出的信號進行處理,獲取目標的距離信息,對于成像激光雷達來說還要完成系統三維圖像數據的錄取、產生、處理、重構等任務。
目前激光雷達的終端信息處理系統設計采用主要采用大規模集成電路和計算機完成。其中測距單元可利用FPGA技術實現,在高精度激光雷達中還需采用精密測時技術。對于成像激光雷達來說,系統還需要解決圖像行的非線性掃描修正、幅度/距離圖像顯示等技術?;夭ㄐ盘柕姆攘炕捎媚M延時線和高速運算放大器組成峰值保持器,采用高速A/D完成幅度量化。圖像數據采集由高速DSP完成,圖像處理及三維顯示可由工業控制計算機完成。
激光雷達的應用
激光雷達技術在城市三維建筑模型中的應用

“數字城市”是數字地球技術系統的重要組成部分,而表達城市主要物體的三維模型包括三維地形,三維建筑模型、三維管線模型。這些三維建筑模型是數字城市重要的基礎信息之一。
而激光雷達技術可以快速完成三維空間數據采集,它的優點使它有很廣闊的應用前景。機載雷達系統的組成包括:激光掃描器、高精度慣性導航儀、應用查分技術的全球定位系統、高分辨率數碼相機。通過這四種技術的集成可以快速的完成地面三維空間地理信息的采集,經過處理便可得到具有坐標信息的影像數據。利用激光進行三維建筑建模的技術。首先,進行數據預處理。就是結合IMUU記錄的姿勢參數、機載GPS數據、地面基站GPS觀察數據、GPS偏心分量、掃描儀和數碼相機各自的偏心分量,進行GPS/IMU聯合解算,得到掃描儀及相機曝光坐標下的軌跡文件,進而得到外方為元素。其次,使用LIDAR數據商業處理軟件將地面數據與非地面數據分離,生成DEM,在利用純地表數據對影像外方位元素通過尋找同名像點的方式進行校正快速生成DOM。DEM和DOM疊加在一起就形成了三維地形模型。最后,為了表達真實的城市面貌對三維建筑模型進行紋理貼圖。紋理粘貼的方法常見的有手動粘貼和紋理映射兩種。常用的紋理獲取方法也有兩種,第一種方法是對建筑頂部紋理采用航空影像,側面紋理信息為手持相機實地拍攝。第二種方法為傾斜航空攝影。得到紋理后利用專業軟件進行紋理面的選擇、勻光處理等將反應建筑現狀的影像信息映射在對應的模型上就達到了反映城市現狀的目的。
激光雷達技術在大氣環境監測中的應用
激光雷達由于探測波長短、波束定向性強,能量密度高,因此具有高空間分辨率、高的探測靈敏度、能分辨被探測物種和不存在探測盲區等優點,已經成為目前對大氣進行高精度遙感探測的有效手段。利用激光雷達可以探測氣溶膠、云粒子的分布、大氣成分和風場的垂直廓線,對主要污染源可以進行有效監控。
對大氣污染物分布的觀測。當激光雷達發出的激光與這些漂浮粒子發生作用時會發生散射,而且入射光波長與漂浮粒子的尺度為同一數量級,散射系數與波長的一次方成反比,米氏散射激光雷達依據這一性質可完成氣溶膠濃度、空間分布及能見度的測定。
差分激光雷達主要用于大氣成分的測定。差分激光雷達的測試原理是使用激光雷達發出兩種不等的光,其中一個波長調到待測物體的吸收線,而另一波長調到線上吸收系數較小的邊翼,然后以高重復頻率將這兩種波長的光交替發射到大氣中,此時激光雷達所測到的這兩種波長光信號衰減差是待測對象的吸收所致,通過分析便可得到待測對象的濃度分布。
在大氣中間層金屬蒸氣層的觀測主要采用熒光共振散射激光雷達。其原理是利用Na、K、Li、Ca等金屬原子作為示蹤物開展大氣動力學研究。由于中間層頂大氣分子密度較低,瑞利散射信號十分微弱,而該區域內的鈉金屬原子層由于其共振熒光截面比瑞利散射截面高幾個數量級,因此,利用鈉熒光雷達研究鈉層分布,進而研究重力波等有關性質更展示其獨有的特性。
激光雷達在油氣直接勘察中的應用
利用遙感直接探測油氣上方的烴類氣體的異常是一種直接而快捷的油氣勘探方法。激光雷達是激光技術和雷達技術相結合的產物,將其應用于油類勘測已經成為可能。激光器的工作波長范圍廣,單色性好,而且激光是定向輻射,具有準直性,測量靈敏度高等優點,使其在遙感方面遠優于其他傳感器。

激光雷達由發射系統和接收系統兩大部分組成。發射系統主要包括激光器和發射望遠鏡;接受系統主要由接收望遠鏡、光電倍增管和顯示器三部分組成。激光雷達技術是根據激光光束在大氣中傳輸時,大氣中塵埃微粒和各種氣體分子對激光產生彌散射,瑞利散射、拉曼散射和共振熒光以及共振吸收等現象,然后利用激光雷達接收系統收集和記錄上述現象過程中所產生的背向散射光譜,以達到探測大氣成份和濃度的目的。
烴類氣體是油氣田油氣微滲漏的主要指示性氣體,而近地表的烴類氣體從成分上看,主要是由早期的成巖作用、細菌作用和地下熱作用等共同作用的結果。共振吸收激光雷達在探測氣體分子含量時一般都采用各種可調諧激光器激光雷達探測氣體的探測靈敏度,是指激光雷達所能接收到的激光功率細微變化的能力。探測的距離和被測氣體分子的吸收截面是影響探鍘靈敏度的主要因素。據研究資料介紹,吸收截面越大靈敏度越高;而探測距離越大,靈敏度越高。而路徑與靈敏度之間的關系是路徑越長,氣體分子對激光光束的吸收衰減也越強烈,從而使探測靈敏度大大提高。但是,由于存在著激光光斑的發散和因大氣湍流引起的激光傳輸方向改變的抖動效應,將使激光的有效利用率減小,即信噪比下降,從而影響污染氣體分子含量的探測精度。因此探測距離以數公里為宜。
利用激光雷達進行氣象研究
激光雷達是一種非常重要的氣象儀器,它是基于電磁能量會從目標反射回來的檢測原理。像雷達一樣,有關目標的性質、距離、角度等數據都可以通過光的散射給我們提供出來。其比雷達更為優秀的是它不僅可以在微波區域進行操作,而且可以在可見光、紅外光或更短的區域進行操作。激光雷達是雷達在光學電磁頻譜上的一個延拓。由激光發射機生成一個短脈沖的能量再針對一個目標發射出去。目標輻射出的散射波由接收光學系統收集并且集中到一個敏感的探測器上,它將入射光的能量轉換成一個電信號,經過放大信號處理后再進行使用。
在斯坦福研究所開發的第一個比較原始的儀器設計清楚地表明了激光雷達的應用,如通過雨水或底層的云的結構探測云和霧層的位置,上升限度的高度。激光雷達回波可以清楚的從低海拔地區觀察到一個清晰的連續氣溶膠層,而這對于肉眼來說是不可見。
SRI Mark III的激光雷達,對稀薄的卷云的檢測展示了一個更高的水平。它表明一個很高的峰值功率可以穿透云層,同時形成反射。利用這種現象在不同海波高度觀察時就可以證明幾個不同層的卷云的存在。雖然用激光雷達性能優越,除了優化設計系統中的參數之外,許多技術被利用來改善的激光雷達系統的性能。例如激光器的冷卻就是所有激光器必須解決的問題。激光雷達脈沖重復頻率較低或泵浦閾值較低時可以采用空氣制冷,而以更大的激光脈沖能量時必須采用制冷系統來冷卻激光器。
激光雷達應用在汽車及交通運輸領域的相關技術
自動泊車技術
自動泊車系統一般在汽車前后四周安裝感應器,這些感應器既可以充當發送器,也可以充當接收器。它們會發送激光信號,當信號碰到車身周邊的障礙物時會反射回來。然后,車載計算機會利用其接收信號所需時間確定障礙物的位置。也有部分自動泊車系統采用保險杠上安裝攝像頭或者雷達來檢測障礙物??偟膩碚f其原理是一樣的,汽車會檢測到已停好的車輛、停車位的大小以及與路邊的距離,然后將車子駛入停車位。
其工作模式為如下,當汽車移動到前車旁邊時,系統會給駕駛員一個信號,告訴他應該停車的時間。然后,駕駛員換倒擋,稍稍松開剎車,開始倒車。然后,車上的計算機系統將接管方向盤。計算機通過動力轉向系統轉動車輪,將汽車完全倒入停車位。當汽車向后倒得足夠遠時,系統會給駕駛員另一個信號,告訴他應該停車并換為前進擋。汽車向前移動,將車輪調整到位。最后,系統再給駕駛員一個信號,告訴他車子已停好。
ACC主動巡航技術
ACC系統包括雷達傳感器、數字信號處理器和控制模塊。司機設定預期車速,系統利用低功率雷達或紅外線光束得到前車的確切位置,如果發現前車減速或監測到新目標,系統就會發送執行信號給發動機或制動系統來降低車速,使車輛和前車保持一個安全的行駛距離。當前方道路沒車時又會加速恢復到設定的車速,雷達系統會自動監測下一個目標。主動巡航控制系統代替司機控制車速,避免了頻繁地取消和設定巡航控制,使巡航系統適合于更多的路況,為駕駛者提供了一種更輕松的駕駛方式。

當前應用到ACC系統上的雷達主要有單脈沖雷達、毫米波雷達、激光雷達以及紅外探測雷達等。單脈沖雷達和毫米波雷達是全天候雷達,可以適用各種天氣情況,具有探測距離遠、探測角度范圍大、跟蹤目標多等優點。激光雷達對工作環境的要求較高,對天氣變化比較敏感,在雨雪天、風沙天等惡劣天氣探測效果不理想,探測范圍有限,跟蹤目標較少,但其最大的優點在于探測精度比較高且價格低。紅外線探測在惡劣天氣條件下性能不穩定,探測距離較短,但價格便宜。
自動剎車技術
高致死率的汽車交通事故推動了自動緊急制動系統的發展。自動緊急制動系統的監測系統由一個嵌入格柵的雷達、一個安裝于車內后視鏡前端的攝像頭及一個中央控制器組成。雷達監測汽車前方的物體和距離,而攝像頭探測物體類型型。高清攝像頭監測行人和自行車運動軌跡。中央控制控制器監測全局信息并分析交通狀況。當出現狀況時發出警示信號提醒司機,若司機未能及時做出反應,系統也將強制控制車輛制動。
無人自駕技術
福特公司推出的無人自駕汽車中使用。其名為“激光雷達系統”,本系統在車頂安裝四個可旋轉激光雷達傳感器,持續向四周發射微弱激光束,從而實時勾勒出汽車周圍360度3D街景,同時結合360攝像頭以幫助汽車觀察周圍環境,系統將收集到的信息進行分析,區分恒定不變的固體(車道分隔,出口坡道,公園長椅等)以及不斷移動的物體(受驚的小鹿,行人,迎面而來的車輛等),并將所有的數據都匯總在一起,再根據密歇根大學開發的算法判斷周圍環境,從而做出相應的反應。

汽車快速成型技術
于1990年激光雷達的快速成型技術是在計算機技術、高分子材料技術、激光技術、CAD/CAM技術、精密機械技術等發展下產生的,激光雷達掃描系統的快速成型技術主要應用于樣件汽車模型的制作和模具的幵發,這項技術能夠較大的縮短新產品的幵發周期,降低了開發的成本,并且能夠使新產品的市場競爭力得到了提高。還能夠應用在汽車的零部件上,多用于分析和檢驗加工的工藝性能、裝配性能、相關的工裝模具以及測試運動特性、風洞實驗和表達有限元分析結果的實體等。利用激光雷達的非接觸式測量、高精度、檢測速度快等特點,在汽車車身的三維檢測和幵發設計過程中,激光雷達得到了廣泛的應用。利用激光雷達測量得到車身的點云數據,對車身進行逆向設計,將點云數據進行預處理,然后進行曲線、曲面、實體模型的重構,最終實現車身模型重現的目的。
激光雷達與智能交通信號控制
在城市重要交通路口信號控制系統中集成一個地面三維激光掃描系統,通過激光掃描儀對一定距離的道路進行連續掃描,獲得這段道路上實時、動態的車流量點云數據,通過數據處理獲得車流量等參數,根據對東西向和南北向車流量大小的比較以及短暫車流量預測,從而自動調節東西向和南北向信號燈周期。
激光雷達與交通事故勘查
運用三維激光掃描儀對事故現場進行三維掃描,現場取證,掃描儀的數據能夠生成事故現場的高質量圖像和細節示意圖,便于后期提取調查和法庭審理。

調查表明,用三維激光掃描儀采集事故現場數據平均每次減少90分鐘的道路封閉時間。
本文轉載自傳感器技術。
推薦閱讀:





