【導讀】關于串擾,之前發布過兩篇文章,但都淺嘗輒止,本文試圖從串擾的根本原理出發,重新探討串擾話題,為高級篇。
關于串擾,之前發布過兩篇文章,但都淺嘗輒止,本文試圖從串擾的根本原理出發,重新探討串擾話題,為高級篇。
提到串擾,對于大多數信號完整性工程師來說,首先想到的應該就是圖1所示的典型的串擾原理圖和圖2所示的典型的串擾波形。

圖1典型的串擾原理圖

圖2典型的串擾波形
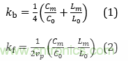
從侵入線(Aggressor)的發送端注入一個具有快速上升沿的階躍信號,經過td到達侵入線的接收端,在受害線(Victim)的兩端分別觀測到耦合造成的近端串擾(Near End Crosstalk,NEXT)和遠端串擾(Far End Crosstalk,FEXT)。對于無損傳輸線,當耦合長度大于飽和長度時,近端串擾系數為Kb ,遠端串擾系數為Kf ,分別表示為公式(1)和公式(2),其中 代表信號在傳輸線中的傳輸速度。

在此有兩個疑問:
1、經典的串擾分析都是注入的信號為一個具有快速上升沿的階躍信號,如果將階躍信號替換為任意波形,那么得到的串擾波形會是什么?
2、為什么近端串擾系數中的常系數是1/4,而遠端串擾系數中的常系數為1/2?
帶著這兩個疑問,我們重讀串擾的基本原理,試圖找到答案。
1、波的傳播
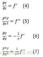
函數為f(t)的波,從原點出發沿+Z方向傳輸,波的傳播速度為v ,經過時間t0到達Z0,此時波的函數表示為f(t-t0)=f(t-z0/v)。 隨時間增加而增加,f(t)沿+Z方向持續移動,因此沿 軸傳輸的波的函數可以用公式(3)來描述,公式(3)中包含兩個變量:時間t 和位置z 。V(z,t)=f(t-z/v)
(3)
用數學的方法對公式(3)求偏微分得到一系列的方程有:

在后續求解串擾波形函數時需要用到這些公式。聯立式(5)與式(7)就能得到大家熟悉的波動方程[1],即
2、互感與互容
串擾在電磁場中表現為相鄰傳輸線間的磁場耦合和電場耦合;在電路中分別采用互感和互容來描述磁場耦合和電場耦合的大小。
1)互感
互感如圖3所示,自感與互感所導致的電壓與電流之間的關系用方程描述為式(9)。


方程組(9)表示為矩陣形式為公式(10),公式(10)中的電感矩陣中的Lii為自電感,Lij為互感。

2)互容
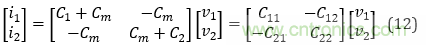
互容如圖4所示,自電容與互電容所導致的電壓與電流之間的關系用方程描述為式(11)。


方程組(11)表示為矩陣形式為公式(12),公式(12)中的電容矩陣中的Cii 為總電容,Cij為互容。
3. 感性耦合
特征阻抗均為Z0的一對相鄰無損傳輸線間單位長度的互感量為Lm (Lm=L12=L21),單位長度的自電感為L0(L0=L11=L22)。感性耦合機制如圖5所示。在dz 長度的線段上由于入侵線中電流的變化通過感性耦合在相應長度的受害線線段兩端形成的電壓dVl 由式(13)表示。類似于耦合變壓器,受害線中耦合信號傳輸方向與入侵線中信號方向相反.dVl作用在均勻傳輸線上所形成的反向耦合電壓dVlb 與前向耦合電壓dVlf 大小相等方向相反,用式(14)表示。

4. 容性耦合
特征阻抗均為Z0的一對相鄰無損傳輸線間單位長度的互容量為Cm (Cm=C12=C21),單位長度的總電容為C0(C0=C11=C22)。容性耦合機制如圖6所示。在dZ 長度的線段上由于入侵線中電壓的變化通過容性耦合流向受害線的耦合電流大小dic 由式(15)表示。耦合電流分為反向耦合電流dicb 和前向耦合電流dicf ,兩者大小相等方向相反,分別作用于均勻傳輸線上,產生的反向耦合電壓dvcb 與前向耦合電壓dvcf 用式(17)表示。

3、串擾
1)遠端串擾
遠端串擾也稱前向串擾,其前向傳輸時延與入侵信號傳輸時延同步,到達前向終端的電壓幅度為每一微小線段dZ所產生的前向耦合電壓的疊加,用式(18)表示。

2)近端串擾
近端串擾也稱反向串擾,近端的輸出波是早期耦合波反向傳播的疊加,耦合波的傳輸距離是2倍的耦合線長。每一微小線段dZ所產生的反向耦合電壓傳輸到受害線的近端終端的波形函數同時為時間和位置相關的函數。近端耦合波形函數用式(22)表示。

從式(23)中不難發現,近端串擾波形是入侵線上注入的波形與注入波形延時2td 后所形成波形的差值再乘上近端串擾系數。
若入侵線上注入的波形為快速上升沿,上升時間為tr,電壓幅度為V1 ,則近端串擾波形就是大家熟知的梯形脈沖,階躍脈沖所造成的近端串擾與遠端串擾的計算波形如圖7所示,其中NEXT_Math和FEXT_Math分別為采用公式(19)和公式(23)計算得到的近端串擾與遠端串擾波形,計算所得到的波形與仿真所得到的波形有很高的吻合度。

圖7 階躍脈沖造成的近端串擾與遠端串擾
若入侵線上注入的波形為方波或者正弦波,并且2倍的傳輸時延td為脈沖周期 的整數倍,即公式(25)時,疊加得到的近端串擾幅度會在2td后抵消為0。對于傳輸時延為500ps的傳輸線,1GHz方波所造成的近端串擾與遠端串擾波形如圖8所示。但如果2倍的傳輸時延td為脈沖周期T一半的奇數數倍,即公式(26)時,疊加得到的近端串擾幅度在 后加倍。對于傳輸時延為500ps的傳輸線,1.5GHz方波所造成的近端串擾與遠端串擾波形如圖9所示。


圖8 1GHz方波造成的近端串擾與遠端串擾

圖9 1.5GHz方波造成的近端串擾與遠端串擾
4、小結
1. 遠端串擾的幅度同入侵線注入波形的電壓變化率相關。
2. 均勻介質中的傳輸線遠端串擾為0。
3. 近端串擾系數中1/4中的1/2 表示耦合波的傳輸距離是2倍的耦合線長。
4. 合適的耦合長度可以減少連續脈沖信號造成的近端串擾。
(來源:信號完整性之旅,作者:王彥武)
免責聲明:本文為轉載文章,轉載此文目的在于傳遞更多信息,版權歸原作者所有。本文所用視頻、圖片、文字如涉及作品版權問題,請聯系小編進行處理。
推薦閱讀:
如何對串擾進行仿真?
恒溫晶振與溫補晶振介紹,單片機為何需要晶振
學會生成LTspice模型,可以更好地提高仿真水平
電感繞組的分布電容,并非一無是處
如何用萬用表區分PNP傳感器和NPN型傳感器?
如何對串擾進行仿真?
恒溫晶振與溫補晶振介紹,單片機為何需要晶振
學會生成LTspice模型,可以更好地提高仿真水平
電感繞組的分布電容,并非一無是處
如何用萬用表區分PNP傳感器和NPN型傳感器?





