- 傳感器技術中的阻抗測量方法的研究
- 分析產生的阻抗與頻率的關系曲線作
- 設計電子數據采集系統來獲取數據
實際應用中的電路元件要比理想電阻復雜得多,并且呈現出阻性、容性和感性特性,它們共同決定了阻抗特性。阻抗與電阻的不同主要在于兩個方面。首先,阻抗是一種交流(AC)特性;其次,通常在某個特定頻率下定義阻抗。如果在不同的頻率條件下測量阻抗,會得到不同的阻抗值。通過測量多個頻率下的阻抗,才能獲取有價值的元件數據。這就是阻抗頻譜法(IS)的基礎,也是為許多工業、儀器儀表和汽車傳感器應用打下基礎的基本概念。
電子元件的阻抗可由電阻、電容或電感組成,更一般的情況是三者的組合。可以采用虛阻抗來建立這種模型。電感器具有的阻抗為jωL,電容器具有的阻抗為1/jωC,其中j是虛數單位,ω是信號的角頻率。采用復數運算將這些阻抗分量組合起來。阻抗的虛數部分稱為電抗,總表達式為Z=R+jX,其中X為電抗,Z表示阻抗。當信號的頻率上升時,容抗Xc降低,而感抗XL升高,從而引起總阻抗的變化,阻抗與頻率呈函數關系。純電阻的阻抗不隨頻率變化。。

圖1:電阻器和電容器并聯時的奈奎斯曲線。
如何分析阻抗
為了檢測元件的阻抗,在以不同的頻率對器件進行掃描時,通常需要測量時域或頻域的響應信號。測量頻域響應信號一般采用模擬信號分析方法,例如交流耦合電橋,但是采用高性能模數轉換器(ADC),允許在時域采集數據,然后再轉換到頻域
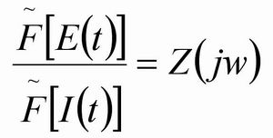
許多積分變換都可以用于將數據轉換到頻域,如傅里葉分析。這種方法就是取出信號的一系列時域信號表示,然后應用積分變換將其映射為頻譜。采用這種方法可以給出任意兩種信號之間關系的數學描述。在阻抗分析中感興趣的是激勵電流(元件的輸入)和電壓響應(元件的輸出)之間的關系。如果系統是線性的,測得的時域電壓和電流的各自傅里葉變換的比值就等于其阻抗,并且它可以表示成一個復數。這個復數的實數部分和虛數部分構成隨后數據分析的關鍵部分。

其中,E=系統電壓;I=系統電流;t=時域參數;F=傅里葉變換
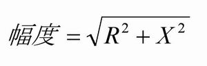
將復數形式轉換成極坐標形式便可以得到在特定頻率下響應信號的幅度和相位與激勵信號的關系。


其中R和X分別表示復數的實部和虛部。上面計算得到的幅度表示該元件在特定頻率條件下的復數阻抗。在掃頻的情況下,可以計算出每個頻率點對應的復數阻抗。
[page]
阻抗數據分析
常用的方法是將產生的阻抗與頻率的關系曲線作為數據分析的一部分。當頻率在給定的范圍內掃頻時,奈奎斯特(Nyquist)圖是在復數平面內以傳遞函數的實部和虛部為參數的曲線。如果圖中的x軸表示實部,y軸表示虛部(注意:y軸取負數),就可以得到每個頻率點的阻抗表示。換句話說就是,曲線上的每個點都代表了某個頻率點的阻抗。可以從向量長度|Z|和該向量與x軸之間的夾角?計算出阻抗。圖1為電阻器和電容器并聯時的典型奈奎斯曲線。
盡管奈奎斯曲線很常用,但是它不能給出頻率信息,所以對于任何特定阻抗,都不可能知道采用的頻率值是多少。因此,奈奎斯曲線通常要采用其它曲線來補充。另外一種常用的表示方法就是波特(Bode)圖。在波特圖中,x軸表示頻率的對數,阻抗的幅度絕對值|Z|和相移都用y軸表示。因此波特圖同時表示了阻抗與頻率和相移與頻率的關系。通常將奈奎斯曲線和波特圖一起使用來分析傳感器元件的傳遞函數。
基于阻抗特性的傳感器
考慮一個基于阻抗特性的傳感器,在正常條件下其電容、電感和電阻特性的組合會產生一個特定的阻抗信號。如果傳感器周圍環境的變化引起上述特性的任何變化,都會造成阻抗的改變。通過測量這種阻抗傳感器隨頻率變化的特性,將會得到一系列新的阻抗特性。
一種相當簡單的方法就是將阻抗的測量值和預測值比較以便得出某種結論。這種工作原理的一個實例就是一種采用渦流原理的金屬檢測傳感器。在位于傳感器外殼的線圈中產生一個高頻交流信號。該線圈產生的電磁場在導電靶中感應出渦流。反過來這個渦流與該傳感器線圈相互作用,所以改變了其阻抗。

圖2:表示阻抗與頻率和相角與頻率之間關系的波特圖。
測量隨頻率變化的線圈阻抗具有許多好處。因為材料的滲透率會影響線圈的阻抗,所以利用經驗阻抗特性可得出一些有關金屬類型的結論。采用這種方法還可以允許該阻抗特性傳感器檢測具有不同滲透率的金屬。滲透率變化還可以用于測量金屬壓力,因為壓力變化會改變滲透率,而滲透率的變化又會改變阻抗。波特圖和奈奎斯曲線在檢查傳感器的頻率響應方面是很有用的。測量大量頻率點的阻抗比測量單個頻率點的阻抗得到的結果更為精確,因為這有助于去除噪聲。還可以通過在某些特定條件下測量電容分量和電感分量的頻率響應確定最佳的工作頻率點。
將阻抗的測量值和其理想值相比較的方法可適用于許多基于阻抗特性能引起電阻、電容或電感變化原理的傳感器技術。常見的應用范圍包括從采用化學傳感器的氣體檢測、基于電容特性的濕度傳感器、游戲或食品業中的金屬硬幣或顆粒特征識別,到農業中的土壤監測。
阻抗分析不僅僅包含簡單地將阻抗響應特性與其理想特性相比較。阻抗頻譜法(IS)通常用于表征系統以及獲取有關系統的有價值信息。本文的目的是將系統從總體上定義為一個元件或者與電極有電接觸的材料。這種接觸可以是固體與固體(在許多化學傳感器的情況下)或者固體與液體(當測量液體中某種成分的濃度時)之間的界面。采用IS可以得到有關元件本身和元件與電極之間界面的信息。
IS的原理利用這樣的事實:如果給界面施加很小的電位,它就會極化。界面極化的方式與當施加電位反轉時極化改變的速度相結合,可以表征界面的特性。對于系統界面,例如吸附和反應速率常數、擴散系數和電容等信息都可以得到。對于元件本身,有關其介電常數、電導率、電荷均衡遷移率、各成分濃度以及大量生成率和復合率等信息都可以估計出來。
[page]
系統或元件的等效電路模型是分析阻抗掃描所產生數據的基礎。這種模型通常是所連接的電阻器、電容器和電感器的組合,以便模擬該系統的電特性。我們要找的模型要求在不同頻率下其阻抗要與測得的阻抗特性相匹配。在理想情況下,模型的元件和互連方式的選擇要用來表示特定的電化學特性,而且要符合該過程的物理特性。可以采用文獻中已有的模型,也可以根據經驗建立一種新模型。
在根據經驗建立模型的情況下,要在經驗模型和測量數據之間找到最佳匹配。因為模型中的元件不一定總是符合電化學工藝的物理特性,所以可以單獨構建模型以便得到最佳匹配。通過逐步增大或減小元件的阻抗直至得到最佳匹配,便可以建立起經驗模型。通常根據非線性最小二乘法擬合(NLLS)原理來完成建模。借助于計算機,利用NLLS算法先初步估計模型參數,然后逐步改變每個模型參數,并評估產生的擬合結果。采用軟件迭代處理直至找到可以接受的最佳擬合結果。

圖3. 用于腐蝕分析的常用等效電路
數據分析和等效電路模型都應當非常小心的對待,而且要進行盡可能多的模型驗證。雖然通過增加元件幾乎總可以建立一個非常合適的模型,但是這樣并不能認為它就代表了系統的電化學工藝。一般說來,經驗模型應該采用盡可能少的元件,而且應當盡可能采用基于系統電化學工藝理論基礎的物理模型。
另外,通常可以建立具有相同阻抗特性的許多不同的經驗模型。雖然可能得到一個很好的最小二乘法匹配模型,但仍然有可能得到不能代表該物理系統的不恰當模型。還有可能NLLS擬合算法對測量特性有部分遺漏或者沒有收斂。這是因為很多算法都試圖在整個頻譜范圍內優化擬合曲線,所以有可能漏掉了頻譜中某些特定頻率點上不好的擬合數據。
腐蝕分析是采用IS法表征系統特性的常見應用,也是一個很好的實例。金屬的腐蝕(例如鋁和鋼)是許多行業中的重大安全考慮因素。如果不重視的話,它會導致金屬壽命過早結束。自動監視腐蝕的能力能顯著節省成本,具有安全和可靠性優勢,而且有助于最佳化預防性地維護系統。
除了確定腐蝕的程度,通過監測腐蝕的速率還有可能預測金屬疲勞。產生金屬疲勞后,在小裂縫出現的地方會從有彈性變為沒有彈性。這些裂縫是新的,但是腐蝕速率相當地快,而且裂紋擴展的速率以及隨后的腐蝕代表了金屬疲勞的程度。早期鑒定腐蝕的方法,特別是在很難達到且無法看到的位置,可以防止或者減慢嚴重腐蝕的破壞。它還可以用于幫助在現實條件下鑒定不同的保護涂層。
下面是根據物理學知識和腐蝕期間發生的電化學工藝過程建立的一種腐蝕過程等效電路模型。常用于腐蝕監視的等效電路用一個電阻器(Rp)和電容器(Cp)相并聯再與一個電阻器Rs相串聯表示。
在模型A中電阻器Rs表示金屬所在的溶液,而電容Cc表示金屬表面的保護涂層或涂料,這表示初始涂層的電容。經過一段時間后,水滲入涂層中形成新的液體和金屬界面。隨著金屬的腐蝕,通過溶液與金屬之間的保護涂層形成離子導電路徑。這可以用Rx與Cc并聯模型來表示。另外,有些模型(模型B)還有一個附加的R和C并聯起來再與Rx串聯的電路來表示金屬保護涂層隨著時間變化的分層模型。
金屬所在的溶液的電阻率或電導率通常是已知的或者很容易獲得,所以可以得到Rs。還可以得到Cp的值,因為可以由保護涂層的介電常數(通常由廠商提供)及其覆蓋的面積計算得到。然后就是求解RX以便確定腐蝕的程度。通常通過曲線擬合算法得到測量阻抗特性數據的最佳擬合來解決這個問題。波特圖也是很常用的方法,它根據其阻抗頻率響應和相位頻率響應來檢測腐蝕傳感器的特性。
IS法不僅僅限于腐蝕分析,還可以用于表征多種電化學系統。例如,它可以用于優化燃料電池性能,預測電池健康狀況,檢查液體中某種成分的濃度以便確定其質量,還可以表征某種材料的電化學性能。
優化電路設計
等效電路模型一旦確定,就必須設計電子數據采集系統來完成頻率掃描和獲取數據。這通常是一項既復雜又費時的工作,需要不可或缺的電子學知識以便優化電路設計。
設計的電路必須能在有用的范圍內以要求的分辨率產生頻率掃描。在許多電化學系統中必須避免采集到的數據受到電化學工藝本身的干擾。所以通常采用小的AC信號,并且還很重要的一點就是不能在系統中引入DC電位差,因為它會導致進一步的電化學反應。然后必須用ADC采集系統對激勵頻率的響應。在有些設計中需要兩個ADC分別用于捕獲激勵信號和響應信號。這是很復雜的,因為需要兩個ADC同步采樣以便檢測出信號之間的相位變化。
AD5933就是一種典型的集成電路芯片,它提供可編程頻率掃描發生器和集成的ADC,該ADC可以與激勵頻率一起工作來獲取響應信號。另外,整個系統必須保持線性。換句話說就是系統的總帶寬必須足夠而且信號大小也要足夠才能得到好的測量結果,但是信號又不能太大以至于超過ADC或其它元件的量程而引起失真。因為待測元件阻抗范圍通常未知,所以通常最開始需要做一些反復試驗來優化系統并且確保它的線性特性。將響應信號轉換為數字形式后,通常將數字信號送入計算機進行下一步的分析。
最新的解決方案,例如AD5933,在送給計算機進行處理之前提取了響應信號的實部和虛部,在芯片內完成了大量的分析。這樣大大減輕了計算機的運算負擔,并且提高了數據采集的質量,因為模擬信號處理電路經過優化與其它的功能模塊配合工作。應當特別注意的是,在使整個系統保持線性的同時,模擬信號的測量結果要經過驗證,否則盡管計算機能輕易提供4位或高于4位的精度,最終結果還是會有偏差。精心的系統設計和驗證以獲得有效的測量是提高最終結果精度的關鍵。
總結
本文對傳感器技術中的阻抗測量方法的研究,通過阻抗數據分析、基于阻抗特性的傳感器分析、優化電路設計等過程,最后得出最新的解決方案,例如AD5933,在送給計算機進行處理之前提取了響應信號的實部和虛部,在芯片內完成了大量的分析。工程師們從中可以獲取對自己學習的有用價值。





