【導讀】在許多情況下,機器人平臺的自主工作能力是一項極為重要的特性,即通過導航系統來監視并控制機器人從一個位置移到下一位置的運動。管理位置和運動時的精度是實現高效自主工作的關鍵因素,MEMS(微機電系統)陀螺儀可提供反饋檢測機制, 對優化導航系統性能非常有用。
Adept MobileRobots項目經理Seth Allen認為,地面機器人系統必須常常處理"枯燥、骯臟、危險"的工作。換言之,機器人系統通常用于人工介入成本過高、危險過大或者效率過低的任務。在許多情況下,機器人平臺的自主工作能力是一項極為重要的特性,即通過導航系統來監視并控制機器人從一個位置移到下一位置的運動。管理位置和運動時的精度是實現高效自主工作的關鍵因素,MEMS(微機電系統)陀螺儀可提供反饋檢測機制, 對優化導航系統性能非常有用。

圖1中所示的Seekur機器人系統就是一個采用先進MEMS器件來改善導航性能的自主系統。

圖1. Adept MobileRobots公司的Seekur系統。
# 機器人導航概述
機器人的移動通常是從管理機器人總體任務進度的中央處理器發出位置變化請求時開始的。導航系統通過制定行程計劃或軌跡以開始執行位置變化請求。行程計劃需考慮可用路徑、已知障礙位置、機器人能力及任何相關的任務目標。(例如,對于醫院里的標本遞送機器人,遞送時間非常關鍵。)行程計劃被饋入控制器,后者生成傳動和方向配置文件以便進行導航控制。這些配置文件可根據行程計劃執行動作和進程。該運動通常由若干檢測系統進行監控,各檢測系統均產生反饋信號;反饋控制器將信號組合并轉換成更新后的行程計劃和條件。圖2是一般導航系統的基本框圖。

圖2. 一般導航系統框圖。
開發導航系統的關鍵步驟始于充分了解每種功能,尤其需要重視其工作目標和限制。各項功能通常都有一些明確界定且易于執行的因素,但也會提出一些需要加以處理的具有挑戰性的限制。某些情況下,這可能是一個反復試探的過程,即識別和處理限制的同時又會帶來新的優化機遇。通過一個實例可以清楚說明這一過程。
# Adept MobileRobots Seekur機器人
Adept MobileRobots Seekur2是一款采用慣性導航系統 (INS)的自主機器人,參見圖3。該車輛具有4輪傳動系統,每個車輪均有獨立轉向和速度控制能力,可在任何水平方向上靈活地移動平臺。此能力對于倉庫交貨系統、醫院標本/補給品遞送系統和軍隊增援系統等新興應用中的機器人車輛非常有用。

圖3. Adept MobileRobots Seekur導航系統。
正向控制
機器人本體命令,即主要誤差信號, 代表軌跡規劃器提供的行程計劃與反饋檢測系統提供的行程進度更新信息之間的差異。這些信號被饋入逆向運動學系統,后者將機器人本體命令轉換成每個車輪的轉向和速度配置文件。這些配置文件使用阿克曼轉向關系,進行計算,整合了輪胎直徑、表面接觸面積、間距和其他重要幾何特性。利用阿克曼轉向原理和關系,上述機器人平臺可創建以電子方式鏈接的轉向角度配置文件,類似于許多汽車轉向系統中使用的機械齒輪-齒條系統。由于這些關系是以遠程方式整合在一起的,不需要以機械方式鏈接車軸,因而有助于最大程度減小磨擦和輪胎滑移,減少輪胎磨損和能量損耗,實現簡單的機械鏈接無法完成的運動。
車輪驅動和轉向系統
每個車輪均有一個驅動軸,通過變速箱以機械方式連接至驅動馬達,同時通過另一個變速箱耦合至光學編碼器,即測程反饋系統的輸入端。轉向軸 將車軸耦合至另一伺服馬達,該馬達負責確立車輪的轉向角度。轉向軸還將通過變速箱耦合至第二個光學編碼器,也即測程反饋系統的另一個輸入端。
反饋檢測和控制
導航系統使用一個增強的Kalman filter3,通過結合多個傳感器的數據來估算行程圖上機器人的姿態。Seekur上的測程數據從車輪牽引和轉向編碼器(提供轉換)和MEMS陀螺儀(提供旋轉)獲得。
測程
測程反饋系統利用光學編碼器對驅動和轉向軸旋轉的測量結果來估算機器人的位置、駛向和速度。在光學編碼器中,用一個碟片阻擋內部光源,或者通過數千個微小窗口讓光源照射在光傳感器上。碟片旋轉時,便會產生一系列電脈沖,這些脈沖通常被饋入計數器電路。每旋轉一圈的計數次數等于碟片內的槽孔數目,因此可從編碼器電路的脈沖計數計算旋轉數(包括小數)。圖4提供了將驅動軸旋轉計數轉換成線性位移 (位置) 變化的圖形參考和關系。

圖4. 測程線性位移關系。
每個車輪的驅動軸和轉向軸編碼器測量結果在正向運動學處理器中用阿克曼轉向公式進行組合,從而產生駛向、偏轉速率、位置和線速度等測量數據。
該測量系統的優點在于其檢測功能直接與驅動和轉向控制系統相結合,因此可精確得知驅動和轉向控制系統的狀態。不過,除非可參考一組實際坐標,否則該測量系統在車輛實際速度和方向方面的精度有限。主要限制(或誤差源)在于輪胎幾何形狀一致性(圖4中D的精度和波動),以及輪胎與地面之間的接觸中斷。輪胎幾何形狀取決于胎冠一致性、胎壓、溫度、重量及在正常機器人使用過程中可能發生變化的所有條件。輪胎滑移則取決于偏轉半徑、速度和表面一致性。
位置檢測
Seekur系統使用多種距離傳感器。對于室內應用,該系統采用270°激光掃描器為其環境構建映射圖。激光系統通過能量返回模式和信號返回時間測量物體形狀、尺寸及與激光源的距離。在映射模式中,激光系統通過將工作區內多個不同位置的掃描結果組合,描述工作區特性(圖5)。這樣便產生了物體位置、尺寸和形狀的映射圖,作為運行時掃描的參考。激光掃描器功能結合映射信息使用時,可提供精確的位置信息。該功能如果單獨使用,會存在一定限制,包括掃描時需要停機以及無法處理環境變化等等。在倉庫環境中,人員、叉車、托盤搬運車及許多其他物體常常會改變位置,這可能影響到達目的地的速度,以及到達正確目的地的精度。

圖5. 激光映射。
對于室外應用,Seekur使用全球定位系統 (GPS)進行位置測量(圖6)。全球定位系統通過至少四個衛星的無線電信號傳播時間對地球表面上的位置進行三角測量,精度可達±1 m以內。不過,這些系統難以滿足無阻擋的要求,可能受建筑、樹木、橋梁、隧道及許多其他類型的物體影響。某些情況下,室外物體位置和特性已知("城市峽谷"), 則在GPS運行中斷時也可使用雷達和聲納來協助進行位置估算。即便如此,當存在動態條件時,例如汽車經過或正在施工,效果常常會受到影響。

圖6. GPS位置檢測。
MEMS 角速率檢測
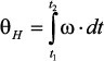
Seekur系統使用的MEMS陀螺儀可直接測量Seekur關于偏航(垂直)軸的旋轉速率,該軸在Seekur導航參考坐標系內與地球表面垂直。用于計算相對駛向的數學關系式是固定時間內(t1 至t2)角速率測量結果的簡單積分。

該方法的主要優勢之一是連接至機器人機架的陀螺儀可測量車輛的實際運動,而無需依靠齒輪比、齒輪隙、輪胎幾何形狀或表面接觸完整性。不過,駛向估算需要依靠傳感器精度,而該精度取決于偏置誤差、噪聲、穩定性和靈敏度等關鍵參數。固定偏置誤差轉換為駛向漂移速率,如包含偏置誤差ωBE的下列關系式所示:

偏置誤差可分為兩種:當前誤差和條件相關誤差。Seekur系統估算的是未運動時的當前偏置誤差。這要求導航電腦能夠識別未執行位置變化命令的狀態,同時還要方便進行數據收集偏置估算和校正系數更新。該過程的精度取決于傳感器噪聲以及可用于收集數據并構建誤差估算的時間。如圖7所示,Allan方差曲線提供了偏置精度與求均值時間之間的簡便關系式,進而確定了ADIS16265的關系式。ADIS16265是一款與Seekur系統目前所用的陀螺儀類似的iSensor® MEMS器件。本例中,Seekur可將20秒內的平均偏置誤差減小至0.01°/秒以下,并可通過在約100秒的周期內求均值來優化估算結果。

圖7. ADIS16265 Allan方差曲線。
Allan 方差4 關系式還有助于深入了解最佳積分時間(τ = t2 – t1). 該曲線上的最低點通常被確定為運行中偏置穩定度。通過設置積分時間τ,使其等于與所用陀螺儀的Allan方差曲線上最低點相關的積分時間,可優化駛向估算結果。
包括偏置溫度系數在內的條件相關誤差會影響性能,因此它們可決定需要每隔多久停止一次機器人的運行,以更新其偏置校正。使用預校準的傳感器有助于解決最常見的誤差源,例如溫度和電源變化。例如,將ADIS16060 改為預校準的ADIS16265可能會增加尺寸、價格和功率,但可以將相對于溫度的穩定性提高18倍。對于2°C溫度變化,ADIS16060的最大偏置為0.22°/秒,而ADIS16265只有0.012°秒。
如以下關系式所示靈敏度 誤差源與實際駛向變化成正比:

商用MEMS傳感器的額定靈敏度誤差通常在±5%至±20%以上,因此需要進行校準以減小這些誤差。例如ADIS16265和ADIS16135等預校準MEMS5 陀螺儀的額定誤差小于±1%,在受控環境中甚至可以達到更高性能。
# 應用范例:
倉庫庫存交貨
倉庫自動化系統目前使用叉車和傳送帶系統移動材料,以管理庫存并滿足需求。叉車需要直接人為控制,而傳送帶系統則需要定期維護。為了最大化倉庫價值,許多倉庫正在進行重新配置,從而為自主機器人平臺的應用敞開了大門。一組機器人僅需要更改軟件、對機器人導航系統進行再培訓就能適應新任務,完全不需要實施大量工程作業來改造叉車和傳送帶系統。倉庫交貨系統中的關鍵性能要求是機器人必須能夠保持行程模式的一致性,可在有障礙物移動的動態環境下安全執行機動動作,并且保證人員安全。為了說明在此類應用中MEMS陀螺儀反饋對Seekur的價值,Adept MobileRobots用實驗方式分別展示了在不使用(圖8)和使用(圖9)MEMS陀螺儀反饋的情況下,Seekur保持重復路徑的能力。應注意,為了研究MEMS陀螺儀反饋的影響,該實驗未采用GPS或激光掃描校正。

圖8. 未使用MEMS陀螺儀反饋時的Seekur路徑精度。

圖9. 使用MEMS陀螺儀反饋時的Seekur路徑精度。
比較圖8和圖9中的路徑軌跡,很容易看出兩者在保持路徑精度上的差異。應注意,這些實驗中采用的是早期MEMS技術,支持~0.02°/秒的穩定度。目前的陀螺儀在相同成本、尺寸和功率水平下性能可提高2到4倍。隨著這一趨勢的延續,在重復路徑上維持精確導航的能力將繼續改善,這將為開發更多市場和應用(例如醫院標本/補給品遞送)帶來機遇。
補給品護送
目前美國國防高級研究計劃局(DARPA)在提案中仍強調更多地利用機器人技術來提升軍力。補給品護送便是這類應用的一個范例,此時軍事護送隊伍暴露于敵方威脅之下,同時不得不按可預測的模式緩慢移動。精確導航讓機器人(如Seekur)可在補給品護送方面承擔更多責任,減少途中人員的安全威脅。一個關鍵性能指標是對GPS中斷情況的管理能力,此時MEMS陀螺儀駛向反饋特別有用。最新Seekur導航技術正是針對這一環境而開發的,它使用MEMS慣性測量單元(IMUs)6提高了精度,并且能在未來不斷采納地形管理和其他功能領域的新技術成果。
為了測試該系統在使用和不使用IMU時的定位性能,對室外路徑誤差進行了記錄和分析。圖10比較了僅使用測程法時相對于真實路徑(源自GPS)的誤差與在卡爾曼濾波器內結合使用測程法與IMU時的誤差。后者的位置精度是前者的近15倍。

圖10. 使用測程法/IMU(綠色)與僅使用測程法(藍色)的Seekur位置誤差。
# 結論
機器人平臺開發人員發現,MEMS陀螺儀技術為改善導航系統方向估算和總體精度提供了經濟高效的方法。預校準的系統就緒型器件使得簡單的功能集成得以實現,有利于開發工作順利起步,并讓工程師可集中精力開展系統優化。隨著MEMS技術持續改善陀螺儀噪聲、穩定性和精度指標,精度和控制水平將不斷提高,從而可為自主機器人平臺繼續拓展新的市場。諸如Seekur等系統的下一代開發工作可從陀螺儀過渡到完全集成的MEMS IMU/6自由度(6DoF)傳感器。雖然面向偏航的方法很有用,但世界畢竟不是平面的;目前及未來的許多其他應用均可利用MEMS IMU進行地形管理和進一步的精度改進,并通過三個陀螺儀實現完全對準反饋和校正。
推薦閱讀:



