【導讀】介紹開關電源的書籍很多,但是大都過于繁雜,學習和消化完一本書需要大量的時間精力,而即便完成了這一艱巨的任務,設計者也不見得具備獨立設計一個完整電源系統的能力。這里筆者根據自己所學知識和實際經驗談下反激式開關電源的設計方法,并結合實例變壓器設計的詳細計算過程。
這是筆者去年做完第一個反激式電源后寫的,內部有各個元器件選取的詳細計算公式。關于RCD鉗位的,目前還沒有非常好的計算方法,采取的是實驗為主的方法,所以大家有好的方法,歡迎補充修改。
開關電源的出現使得使用市電的設備告別了笨重的變壓器和需要使用龐大散熱器的線性穩壓器,電子產品做到了更小的體積、更輕的重量和更高的效率。但是,開關電源使得設計門檻大大提高,它要求設計者在電路和磁學上必須有深刻的理解。介紹開關電源的書籍很多,但是大都過于繁雜,學習和消化完一本書需要大量的時間精力,而即便完成了這一艱巨的任務,設計者也不見得具備獨立設計一個完整電源系統的能力。
這里筆者根據自己所學知識和實際經驗談下反激式開關電源的設計方法,并結合實例變壓器設計的詳細計算過程。由于筆者接觸開關電源時間不長,文中疏漏與不當之處難免,還望讀者批評指正。
1.基本反激變換器原理
在討論具體的設計步驟之前,我們有必要介紹一下反激式開關電源的原理。對于反激式開關電源,在一個工作周期中,電源輸入端先把能量存儲在儲能元件(通常是電感)中,然后儲能元件再將能量傳遞給負載。這好比銀行的自動取款系統,銀行工作人員每天在某一時間段向自動取款機內部充入一定數目的錢(相當于電源輸入端向儲能元件存儲能量),一天中剩下的時間里,銀行用戶從取款機中將錢取走(相當于負載從儲能元件中獲取能量)。在銀行工作人員向取款機充錢的時候,用戶不能從取款機中取錢;客戶正在取錢的階段,銀行工作人員也不會向存款機里面充錢。這就是反激式開關電源的特點,任何時刻,負載不能直接從輸入電源處獲取能量,能量總是以儲能元件為媒介在輸入電源和負載間進行傳遞的。
下面來看圖一,這是反激式變換器的最基本形式,也就是我們常說的buck-boost(或者flyback)拓撲。當開關閉合時,輸入電源加在電感L上,流過電感的電流線性上升,上升斜率就是輸入電壓與電感量的比值(在這里以及以下討論中,我們忽略了開關管的壓降,但是不忽略二極管的壓降,這將更符合后面關于離線式反激變換器的實際情況),如下式:

[page]
在之一過程中,電能轉換成磁場能量儲存在電感內,電感量一定時,時間越長流過電感的電流越大,電感中儲存的能量也就越大,電感內部儲能大小如下式:

開關閉合期間,二極管D是反偏的,輸入到輸出端沒有通路,電源輸入端和電感都不向負載提供能量。

當開關斷開時,電感需要通過維持電流的恒定來阻止磁通量的突變,但此時電源輸入端和電感之間沒有通路,所以電感兩端的電壓必須反向(原來的上正下負變為上負下正),使得二極管D正偏導通,儲存在電感內部的能量一方面傳遞給負載,另一方面裝換成電場能儲存在輸出電容Co當中。電感中的電流線性下降,下降斜率為電感上電壓與電感量的比值,而此時電感上的電壓等于輸出電壓加上二極管的正向壓降,如下式:

以上討論了一個開關周期的情況,為了電路能夠持續穩定工作,必需滿足一定的條件,我們仍然以銀行自動取款系統做比喻。試想,如果一天過去后,取款機里面的錢還有剩余,那么第二天銀行工作人員就必需減少充入的錢的數目,否則,取款機就肯定放不下這么多錢。電路中也是一樣,如果開關關斷的時候,電感內部的能量沒有完全轉移出去(被負載消耗或者存入輸出電容中),那么接下來開關閉合的時間Ton就必需減小,否則周而復始的話,電感中的電流會不斷積累,最終使得電感飽和,換一句話說,為了系統穩定工作,必須滿足的條件就是開關閉合期間電感的電流增加量必須等于開關斷開器件電流的減小量,即下式:

[page]
以一個完整的周期分析,對上面的式子化簡得到:
從上面的式子可以看出,系統維持穩定工作的條件就是開關閉合時電感上的電壓與開關閉合時間的乘積等于開關關斷時電感上的電壓與開關關斷時間的乘積相等,這也就是伏秒數數守恒,這兩個乘積其中的一個叫做電感的伏秒數。從上面的一系列式子可以看出,伏秒數描述了電感中電流的變化量,實際上對應著電感中儲存的能夠被利用的能量。
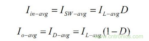
下面給出基本反激變換器的電感電流波形。如圖二所示,以一個周期為例,從A點到C點間,開關閉合,電感電流線性上升,在此期間電感電流即開關管電流;從C點到B點,開關斷開,電感電流線性下降,在此期間電感電流即二極管電流。圖中可以看出,流過電感的平均電流等于電感的峰值電流和谷值電流的中間值。而流過開關管和二極管的平均電流可以由下式確定:

這里引出了占空比D的概念,即開關開啟時間與開關周期的比值。從伏秒數守恒的關系式我們可以得到基本反激變換器中占空比的計算式如下:

從圖一中,我們看到電源輸入端只與開關管相連,所以輸入電流即開關管電流,也就是開關閉合時的電感電流;輸出端只與二極管和電容相連,又因為電容器不可能流過直流,所以平均輸出電流等于平均二級管電流,即有下式成立:

最后我們給出一個很重要的定義,那就是紋波系數,在不同的書籍和文獻中,紋波系數的定義有一定的區別,為了方便我們接下來的討論和計算,在這里將紋波系數KRF定為電感電流變化量的一半比上電感平均電流,即:

圖二電路中,整個開關周期內,流過電感的電流始終不為零。當輸出電流減小時,相應的電感平均電流也減小,如果開關周期、電感量以及輸入輸出電壓不變的話,電感中電流的變化量保持不變,那么,就可能出現電感中變化的電流大小等于或者大于平均電流兩倍的情況。這個時候,每一個周期內,開關閉合時,電感電流從零開始上升,開關斷開后,電感電流會下降到零。也就是說,此時的KRF等于或者大于1,這就是我們說的臨界工作模式和斷續工作模式。相對應的電感電流始終不為零的情況就是連續工作模式。

在反激式變換器中,電感量取值越大,電流的變化量(紋波電流)就越小,在相同輸出電流情況下,越不容易進入斷續模式;反之,電感量取值越小,紋波電流越大,在相同的輸出電流情況下,越容易進入斷續工作模式。
通常在設計過程中,我們可以設定在某一輸出電流(即輸出功率)時變換器進入臨界模式,電流大于設定值時就進入連續工作模式,小于這一值時進入斷續工作模式(即KRF在0到1之間)。也可以將變換器設計為一直工作在臨界模式或者斷續模式(即KRF大于等于1),特別是在單級PFC反激式變換器以及準諧振反激式變換器中,這種方式應用較多。本文以下的討論均以連續模式為例。
上面討論了基本反激變換器滿足的基本關系式,接下來一節我們開始討論隔離輸出的反激變換器原理。
(待續...)
相關閱讀:
低EMI、高效的零電壓開關反激式開關電源設計
http://aolaiaolisita.com/power-art/80021603
經驗分享:開關電源的常見故障及維修技巧
http://aolaiaolisita.com/power-art/80021622
工程師詳解:一款開關電源設計及參數計算
http://aolaiaolisita.com/power-art/80021730
開關電源設計必看!盤點電源設計中最常用的計算公式
http://aolaiaolisita.com/power-art/80021732






